三環減速器的動力模型及動力特性研究
5.1引言
三環減速器是一種利用三相并列雙曲柄機構來克服死點的連桿內齒行星齒輪減速器,其基本結構如圖5-0所示。它由低速輸出軸1 ,兩根高速輸入軸2 ,三片傳動齒板3組成,各軸均平行配置,相同的兩根高速軸帶動三片傳動齒板呈120°相位差作平面轉動,傳動環板上的內齒圈與低速軸上的外齒輪相嚙合,形成大速比,其傳動比

三環傳動結構
圖5-1

式中
Z1是低速軸上外齒輪齒數;
Z2是齒板內齒輪齒數。
三環減速器的主要優點是:
1.傳動比大、適應性廣,由于采用漸開線少齒差內嚙合傳動,可以獲得較大的傳動比,單級傳動比達11~99,雙級傳動比高達9801;又因為減速器的中心距與齒輪參數無關,可根據需要設計,故其適應性廣。
2.承載能力強,且重量輕。內嚙合齒輪由于接觸點處齒廓曲率方向相同,所以齒面接觸強度較高,同時由于少齒差傳動的多齒接觸承載特點,隨著載荷增加,接觸承載齒數也隨之增加,故三環減速器有很強的承載能力和過載能力,可承受過載27倍。又由于三環減速器的結構簡單,傳動比大、所以其重量輕,比普通圓柱齒輪減速器重量相應減小2/3。
3.傳動效率高。三環減速器的效率主要由兩部分組成,即嚙合效率及軸承效率。它比一般少齒差傳動(K-H-V)少一個輸出機構,故效率可高達96%。
4.軸承受力小,壽命長。三環減速器的行星軸承受力與K-H-V型行星軸承受力相比,K-H-V型行星軸承受力約為三環減速器的1.86倍,而行星軸承的壽命,三環的約為K-H-V型的6倍以上。
由于以上優點,三環減速器正在日益推廣,目前己在礦山、冶金、石油、化工、起重運輸、輕工等眾多領域實際應用,取得了一定的社會效益和經濟效益,通過進一步的理論分析、試驗研究和技術推廣,有可能成為新一代通用減速器。
但是,由于三環減速器問世僅幾年時間,缺乏較全面的理論分析和實驗研究,在設計只得采用類比的方法或借助于非常粗略的簡化模型進行計算,設計工作缺乏依據,使得產品性能環穩定、在應用中出現發熱、振動、軸承早期損壞甚至齒板斷裂等現象,影響了這種傳動形式的進一步發展。
本章應用本文提出的位移協調原理,從系統變形的角度,建立了三環減速器的動力分析精確模型,并針對SHQ40型三環減速器進行求解,研究了各種因素對其動力特性的影響。
5.2三環減速器動力分析基本方程
三環減速器是三相并列雙曲柄輸入式的少齒差內齒行星傳動裝置。因此可按第三章對內齒行星傳動建模方法,建立其動力分析模型。
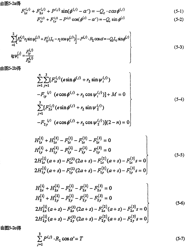
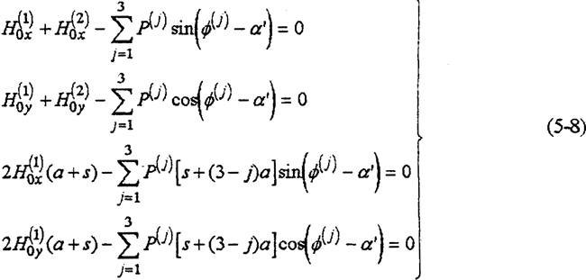
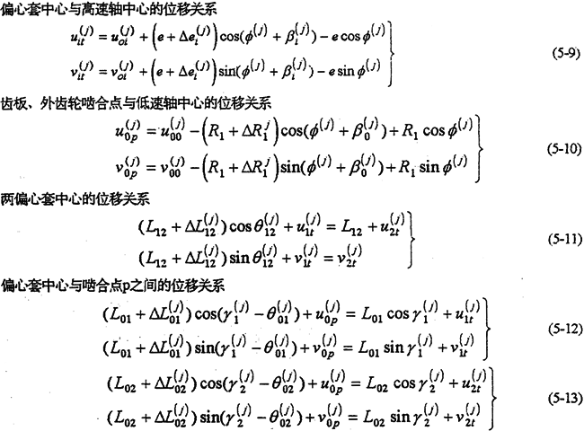
對齒板及高速轉臂軸,輸出軸進行動態靜力分析(見圖5-2),可得三環減速器的動力分析基本方程(忽略各構件重力作用)。





根據對三環減速器的靜不定次數計算,當單軸輸入(n=1)時,S=4,雙軸輸入(n=2)時,S=5。故應根據輸入形式,由位移協調節器條件增加4個或5個動力分析補充方程。
5.3三環減速器的動力分析補充方程
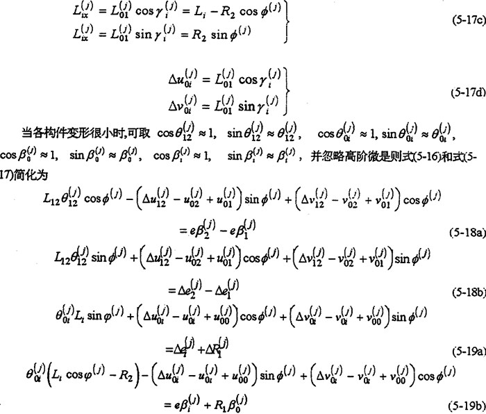
三環減速是多相并列連桿行星齒輪傳動過約束機構。應該從整體系統上去考慮其變形關系。圖5-3是一相子機構的位移關系圖。圖5-3(a)是基本位置圖、圖5-3(b)是高速軸之間的位移關系、圖5-3(c)是高速軸與輸出軸之間的位移關系(i=1、2)。由圖寫出各運動副中心的位移關系如下:


以上各式中u(j)it,V(j)it是偏心套中心的位移;
△e(j)i是偏心套偏心距e變形量;
△R(j)1是齒對接觸點與外齒輪中心的距離變化量;
△β(j)i是機構變形使高速軸產生的角位移;
△β(j)o是機構變形使低速軸產生的角位移;
u(j)oi,V(j)ot是高速軸軸心因箱體軸承變形及軸彎曲變形產生的位移;
u(j)op,V(j)op是機構變形使嚙合點產生的位移;
u(j)00,V(j)00是低速軸中心因箱體軸承變形及軸彎曲變形產生的位移;
△L(j)12,△L(j)01,△L(j)02是機構變形引起各運動副中心之間的距離產生的相對位移量;
θ(j)12,θ(j)01,θ(j)02是各運動副中心連結因機構變形產生的角位移。

式中

當只考慮行星軸承變形和內齒圈變形時,式(5-18)及(5-19)就變成(3-11)、(3-14)。


上式的第一式即為高速軸之間的約束條件,第二式為高速軸與低速軸(輸出軸)之間的約束條件,消去試中的
可得4個補充方程,滿足單軸輸入(n=1)所需的動力分析補充方程的數量(S=4)。對于雙軸輸入(n=2),若分流機構為齒輪傳動,則由式(3-12b)增加一個補充方程得

由式(5-18)、(5-19)、(5-22)、(5-23)就構成三環減速器的動力分析補充方程。將它們與三環減速器的動力分析基本方程聯解,可以確定出的運動副的動反力及齒板、軸等的變形角位移,隨轉角(或時間)的函數關系。各齒板、軸的角位移與轉角φ的關系可表示成:

上式是三環減速器轉動時,各齒板、軸在機構變形時的角位移關系式,將其求導(對時間)可得角速度、角加速度關系。
式(5-18)中的△u(j)12,△u(j)12為機構變形后兩偏心套中心之間的長度L12產生的增量分量,它包括齒板兩高速軸孔之間的相對變
形量,兩行量軸承的變形量,兩偏心套的變形量以及兩運動副的間隙等。可表為

式中K(j)bt是齒板高速軸孔周邊變形剛度,見表4-3;
K(j)i是行星軸承變形剛度,由文獻,K(j)i=4.48×105N/mm;
K(j)ti是偏心套外圓周邊變形剛度,見表4-1;
△r(j)ix、△r(j)iy是運動副間隙在x、y方向的分量。
表4-3
| φ+ψ |
k(×108N/m) |
φ+ψ |
k(×108N/m) |
| 0 |
3.2115 |
180 |
12.4935 |
| 10 |
3.2757 |
190 |
14.6264 |
| 20 |
3.45 |
200 |
12.8562 |
| 30 |
3.678 |
210 |
13.1985 |
| 40 |
4.243 |
220 |
14.4738 |
| 50 |
4.969 |
230 |
15.4107 |
| 60 |
6.1059 |
240 |
18.7727 |
| 70 |
7.9875 |
250 |
24.052 |
| 80 |
11.2872 |
260 |
24.7488 |
| 90 |
17.4852 |
270 |
16.5972 |
| 100 |
24.997 |
280 |
10.959 |
| 110 |
22.555 |
290 |
7.8687 |
| 120 |
17.496 |
300 |
6.0639 |
| 130 |
14.5707 |
310 |
4.956 |
| 140 |
13.256 |
320 |
4.2411 |
| 150 |
12.74 |
330 |
30.7701 |
| 160 |
12.5496 |
340 |
3.4509 |
| 170 |
12.4656 |
350 |
3.279 |
表4-1
| ψ |
K(109)N/m |
ψ |
K(109)N/m |
ψ |
K(109)N/m |
ψ |
K(109)N/m |
| 0 |
6.3991 |
90 |
5.0111 |
180 |
5.2938 |
270 |
5.0111 |
| 5 |
2.4935 |
95 |
3.6888 |
185 |
3.4579 |
275 |
2.9738 |
| 10 |
3.6130 |
100 |
3.3156 |
190 |
4.5799 |
280 |
10.016 |
| 15 |
3.2837 |
105 |
6.0076 |
195 |
2.8184 |
285 |
2.8762 |
| 20 |
2.7938 |
110 |
2.7578 |
200 |
9.0791 |
290 |
7.5409 |
| 25 |
5.2028 |
115 |
1.1512 |
205 |
2.6340 |
295 |
3.2680 |
| 30 |
2.5736 |
120 |
2.7683 |
210 |
10.735 |
300 |
4.2517 |
| 35 |
9.1607 |
125 |
5.7354 |
215 |
2.8139 |
305 |
4.4096 |
| 40 |
2.6608 |
130 |
3.3017 |
220 |
4.9712 |
310 |
3.1247 |
| 45 |
7.2520 |
135 |
3.5187 |
225 |
3.5187 |
315 |
7.2520 |
| 50 |
3.1247 |
140 |
4.9712 |
230 |
3.3017 |
320 |
2.6608 |
| 55 |
4.4096 |
145 |
2.8139 |
235 |
5.7354 |
325 |
9.1607 |
| 60 |
4.2517 |
150 |
10.735 |
240 |
2.7683 |
330 |
2.5736 |
| 65 |
3.2680 |
155 |
2.6340 |
245 |
1.1512 |
335 |
5.2028 |
| 70 |
7.5409 |
160 |
9.0791 |
250 |
2.7578 |
340 |
2.7938 |
| 75 |
2.8762 |
165 |
2.8184 |
255 |
6.0676 |
345 |
3.2837 |
| 80 |
10.016 |
170 |
4.5799 |
260 |
3.3156 |
350 |
3.6130 |
| 85 |
2.9738 |
175 |
3.4597 |
265 |
3.6888 |
355 |
2.4935 |
上一頁
下一頁