4.4.2偏心套的位移及其剛度系數
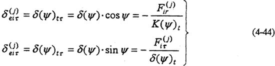
將軸承載荷加以處理后,就可以得到行星軸承與偏心套接觸點的載荷與軸承總載荷的關系。如圖4-7所示,若偏心套與軸承的接觸中心與坐標軸r的角為φ。則各節點載荷在r和τ方向的分量由式(4-29)和式(4-32)變換得


式(4-35)中的F是行星承軸載荷。偏心套外圓周邊某接觸點的法向位移

由式(4-43)計算出偏心套剛度系數見表4-1。
表4-1 偏心套綜合剛度
| ψ |
K(109)N/m |
ψ |
K(109)N/m |
ψ |
K(109)N/m |
ψ |
K(109)N/m |
| 0 |
6.3991 |
90 |
5.0111 |
180 |
5.2938 |
270 |
5.0111 |
| 5 |
2.4935 |
95 |
3.6888 |
185 |
3.4579 |
275 |
2.9738 |
| 10 |
3.6130 |
100 |
3.3156 |
190 |
4.5799 |
280 |
10.016 |
| 15 |
3.2837 |
105 |
6.0076 |
195 |
2.8184 |
285 |
2.8762 |
| 20 |
2.7938 |
110 |
2.7578 |
200 |
9.0791 |
290 |
7.5409 |
| 25 |
5.2028 |
115 |
1.1512 |
205 |
2.6340 |
295 |
3.2680 |
| 30 |
2.5736 |
120 |
2.7683 |
210 |
10.735 |
300 |
4.2517 |
| 35 |
9.1607 |
125 |
5.7354 |
215 |
2.8139 |
305 |
4.4096 |
| 40 |
2.6608 |
130 |
3.3017 |
220 |
4.9712 |
310 |
3.1247 |
| 45 |
7.2520 |
135 |
3.5187 |
225 |
3.5187 |
315 |
7.2520 |
| 50 |
3.1247 |
140 |
4.9712 |
230 |
3.3017 |
320 |
2.6608 |
| 55 |
4.4096 |
145 |
2.8139 |
235 |
5.7354 |
325 |
9.1607 |
| 60 |
4.2517 |
150 |
10.735 |
240 |
2.7683 |
330 |
2.5736 |
| 65 |
3.2680 |
155 |
2.6340 |
245 |
1.1512 |
335 |
5.2028 |
| 70 |
7.5409 |
160 |
9.0791 |
250 |
2.7578 |
340 |
2.7938 |
| 75 |
2.8762 |
165 |
2.8184 |
255 |
6.0676 |
345 |
3.2837 |
| 80 |
10.016 |
170 |
4.5799 |
260 |
3.3156 |
350 |
3.6130 |
| 85 |
2.9738 |
175 |
3.4597 |
265 |
3.6888 |
355 |
2.4935 |
在內齒行星傳動機構動力分析中偏心套的位移分量為

4.4.3行星齒板的位移及剛度系數
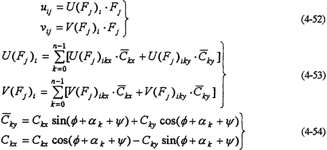
行星齒板上作用的外載荷有高速軸行星軸承載荷,及與外齒輪的嚙合載荷。因此,齒板上任何點的位移,都應該是由這些載荷引起該點位移的和。設載荷作用位置的位移分量ui,Vi,i=0為時是嚙合力作用點的位移,i=1,2時分別是高速成軸孔1和高速軸孔2與行星軸承處圈接觸中心點的位移,則有

式中uij,Vij是指在j處的載荷引起i處產生的位移。
1.由嚙合載荷產生的位移
考慮多齒承載時,設接觸齒數為z,則

式中Pk是齒對接觸載荷;
φk是齒對的位置角;
U(P)ikx,U(P)iky,V(P)ikx,V(P)iky是由載荷Pk作用在i處產生位移的柔度系數,由磁盤文件提供。
在式(4-46)中令i=0,z=1,即單齒嚙合時,輪齒的變形位移為

由上式看出,行星齒板瞪圈的法向剛度K(P)是隨φ角變變化而變化的。其變化規律見表4-2及圖4-8所示。由圖或表可知,齒圈剛度在90°及300附近出現剛度沖擊。其,沖擊值為
φ=92.8571°,Kmax=1.976×109N/m φ=298.57°,Kmax=2.04×109N/m
表4-2內齒圈剛度變化規律
| φ |
K(108)N/m |
φ |
K(108)N/m |
φ |
K(108)N/m |
| 1.4285 |
2.633 |
>121.4285 |
1.592 |
241.4286 |
0.551 |
| 7.1428 |
2.477 |
127.1428 |
1.143 |
247.1428 |
0.676 |
| 12.8571 |
2.280 |
132.8571 |
0.8665 |
252.857 |
0.860 |
| 18.5714 |
2.108 |
138.5714 |
0.6805 |
258.5714 |
1.127 |
| 24.2857 |
2.018 |
144.2857 |
0.5528 |
264.2857 |
1.566 |
| 30.00 |
2.000 |
150.0000 |
0.4625 |
270.0000 |
2.298 |
| 35.7142 |
2.042 |
155.7142 |
0.3980 |
275.7143 |
3.351 |
| 41.4285 |
2.181 |
161.4285 |
0.3512 |
281.4286 |
6.055 |
| 47.1428 |
2.376 |
167.1428 |
0.3168 |
287.1429 |
10.53 |
| 52.8571 |
2.712 |
172.8571 |
0.2926 |
292.8571 |
17.99 |
| 58.5714 |
3.223 |
178.5714 |
0.276 |
298.5714 |
20.41 |
| 64.2857 |
3.994 |
184.2857 |
0.2662 |
304.2857 |
14.656 |
| 69.9999 |
5.407 |
190.0000 |
0.2615 |
310.0000 |
9.91 |
| 75.7142 |
7.808 |
195.7143 |
0.2624 |
315.7143 |
6.526 |
| 81.4285 |
12.62 |
201.4286 |
0.2688 |
321.43 |
4.835 |
| 87.1428 |
18.75 |
207.1428 |
0.27915 |
327.1429 |
3.77 |
| 92.8571 |
19.76 |
212.8571 |
0.2969 |
332.8571 |
3.143 |
| 98.5714 |
12.50 |
218.7714 |
0.322 |
338.5714 |
2.772 |
| 104.2857 |
6.641 |
224.2857 |
0.358 |
344.2857 |
2.608 |
| 110.0000 |
3.755 |
230.0000 |
0.443 |
350.0000 |
2.565 |
| 115.7142 |
2.356 |
235.714 |
0.466 |
355.77143 |
2.612 |

圖4-8齒板齒圈剛度變化規律
從圖中還可以看到,齒圈厚度較小的范圍(120°~240°)剛度值較小,在180°附近取得最小值,這與40型三環齒板相符。
2.由行星軸承載荷產生的位移
設行星軸承與齒板高速軸孔接觸的節點數為n個,則在j(=1,2)處行星軸承載荷引起1處接觸中心節點的位移

式(4-51)~(4-53)中U(Fj)ikx,U(Fj)iky,V(Fj)ikx,V(Fj)iky為行星齒板柔度系數的值,由磁盤文件提供計算。Ckx,Cky由式(4-30)及式(4-33)計算。
當i=j=1、2時,其接觸中心位移

表4-3齒板高速軸孔法向剛度
| φ+ψ |
k(×108N/m) |
φ+ψ |
k(×108N/m) |
| 0 |
3.2115 |
180 |
12.4935 |
| 10 |
3.2757 |
190 |
14.6264 |
| 20 |
3.45 |
200 |
12.8562 |
| 30 |
3.678 |
210 |
13.1985 |
| 40 |
4.243 |
220 |
14.4738 |
| 50 |
4.969 |
230 |
15.4107 |
| 60 |
6.1059 |
240 |
18.7727 |
| 70 |
7.9875 |
250 |
24.052 |
| 80 |
11.2872 |
260 |
24.7488 |
| 90 |
17.4852 |
270 |
16.5972 |
| 100 |
24.997 |
280 |
10.959 |
| 110 |
22.555 |
290 |
7.8687 |
| 120 |
17.496 |
300 |
6.0639 |
| 130 |
14.5707 |
310 |
4.956 |
| 140 |
13.256 |
320 |
4.2411 |
| 150 |
12.74 |
330 |
30.7701 |
| 160 |
12.5496 |
340 |
3.4509 |
| 170 |
12.4656 |
350 |
3.279 |
4.5其它零件的位移
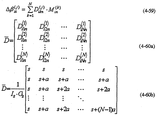
其它零件主要有輸出軸、高速軸、外齒輪及軸承等。由于輸出軸的直徑很大,變形很小,故可能以忽略不計。高速軸的變形主要有扭轉、變曲變形。扭轉角位移為


式中Iz是軸的扭轉慣性矩;
Gz是抗扭彈性模量;
s是最外側齒板與箱體壁的距離;
a是齒板之間的距離。
軸的彎曲位移可按簡支梁上作用N個集中載荷計算:

式中
。等參數號考文獻中有關計算。是滾動體的數目。
為了簡化計算,在變形不大且大考慮間隙時,可按薄壁圓簡計算,得出力與變形之間的線性關系

式中Ki是軸承的接觸剛度系數。
輸出外齒輪厚度大于3倍齒板厚度以上,故可以只考慮在輪齒齒面法向變形位移。與齒板嚙合時,其齒面的法向位移為

式中D(j)W是輪齒的法向柔度,是齒面法向剛度Cn的倒數。

Cn的值由文獻給出。
上一頁
下一頁