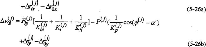
式(5-19)中的△u(j)0i,△u(j)0i是嚙合接觸點p與偏心套中心的距離因機構變形產生的變形增量。它包括齒板嚙合接觸點與高速軸
孔中心的相對變形量、行星軸承的變形量、偏心套的變形量以及運動副間隙、輪齒齒形誤差等。可表示為


式中
K(j)p是齒圈變形剛度,見表4-2;
r(j)0x,r(j)0y是齒形法向誤差在坐標軸方向的分量;
u(j)0i,u(j)0i是高速軸軸心的位移,它是由由箱體軸承變形及軸的彎曲變形引起的,即

式中W(j)k由(4-63)計算。
表4-2
| φ |
K(108)N/m |
φ |
K(108)N/m |
φ |
K(108)N/m |
| 1.4285 |
2.633 |
121.4285 |
1.592 |
241.4286 |
0.551 |
| 7.1428 |
2.477 |
127.1428 |
1.143 |
247.1428 |
0.676 |
| 12.8571 |
2.280 |
132.8571 |
0.8665 |
252.857 |
0.860 |
| 18.5714 |
2.108 |
138.5714 |
0.6805 |
258.5714 |
1.127 |
| 24.2857 |
2.018 |
144.2857 |
0.5528 |
264.2857 |
1.566 |
| 30.00 |
2.000 |
150.0000 |
0.4625 |
270.0000 |
2.298 |
| 35.7142 |
2.042 |
155.7142 |
0.3980 |
275.7143 |
3.351 |
| 41.4285 |
2.181 |
161.4285 |
0.3512 |
281.4286 |
6.055 |
| 47.1428 |
2.376 |
167.1428 |
0.3168 |
287.1429 |
10.53 |
| 52.8571 |
2.712 |
172.8571 |
0.2926 |
292.8571 |
17.99 |
| 58.5714 |
3.223 |
178.5714 |
0.276 |
298.5714 |
20.41 |
| 64.2857 |
3.994 |
184.2857 |
0.2662 |
304.2857 |
14.656 |
| 69.9999 |
5.407 |
190.0000 |
0.2615 |
310.0000 |
9.91 |
| 75.7142 |
7.808 |
195.7143 |
0.2624 |
315.7143 |
6.526 |
| 81.4285 |
12.62 |
201.4286 |
0.2688 |
321.43 |
4.835 |
| 87.1428 |
18.75 |
207.1428 |
0.27915 |
327.1429 |
3.77 |
| 92.8571 |
19.76 |
212.8571 |
0.2969 |
332.8571 |
3.143 |
| 98.5714 |
12.50 |
218.7714 |
0.322 |
338.5714 |
2.772 |
| 104.2857 |
6.641 |
>224.2857 |
0.358 |
344.2857 |
2.608 |
| 110.0000 |
3.755 |
230.0000 |
0.443 |
350.0000 |
2.565 |
| 115.7142 |
2.356 |
235.714 |
0.466 |
355.77143 |
2.612 |
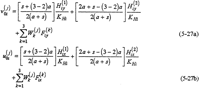
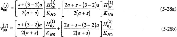
低速軸軸心位移u(j)00,V(j)00也是由箱體軸承變形及低速軸彎曲變形組成。但由于低速軸的法向尺寸較大、彎曲變形很小,故可忽
略不計,只考慮箱體軸承的變形則有
式(5-27)及式(5-28)中s是兩則齒板靠近箱體的距離,a是齒板之間的距離。取箱體軸承的剛度KH0=KHi=1379×105N/mm。偏心套的徑向變形△e(j)i以及外齒輪的徑向變形△R(j)1均很微小,故一般忽略不計。
高速軸的扭軸變形△β(j)zi由式(4-59)計算。低速軸因徑向尺寸比高速軸的遠遠大,故其變形可忽略不計。
5.4三環減速器的載荷分布
三環減速器的載荷有嚙合力、行星軸承載荷以及箱體軸承載荷。其分布情況直接反映出三環減速器的動力學性能。下面分析SHQ40型三環減速器的載荷分布特性。SHQ40的有關參數為
i=20 z1=60 z=63 m=4 e=6.392mm a′=28.10 a=200 T=4000Nm n=1000rmp L1=400mm L2=210mm B=30mm s-55mm d=34mm

在不計各種誤差且機構變形很小時,將以上參數代入三環減速器的非線性動力分析方程式(5-1)~(5-8)、(5-18)、(5-19)、(5-22)~(5-23)等方程,在計算機上求解,就可求得三環減速器各載荷隨工況角φ的變化規5-4為計算程圖。
5.4.1嚙合力分析規律
SHQ40型三環減速器的嚙合力隨φ的變化規律如圖5-5所錄。由圖可以看出嚙合力的以下規律:

1.三片齒板上對應的嚙合圖變化規律完全機同,彼此相位差為120°,以360°為擊期限變化。
2.無論在什么工況三片齒板的嚙合力之和總為常數,但各片齒板的嚙合力并不一定相等。即

3.在一個周期內,各齒板的嚙合力均各取得兩次數值不等的極小值和兩次數值相近的極大值。第一片齒板的極值點為

理想情況下,嚙合力的極小值在φ=0°、180°產生,極大值在φ=90°、270°產生,造成位置偏離的影響因素主要有軸承剛度,齒板剛度,嚙合角以及輸入轉速、傳動比等等。其中軸承剛度的影響極大。在死點的嚙合力也產不并一定為零。哈合力可能為負值。為負值時,將阻礙傳動的正常轉動,產生內齒輪副的干涉現象。并引起減速器沖擊振動。因此,按照嚙合力過死點時為零的假設分布規律以及嚙合力為常數分布規律的模型分析,所得結果都是不可靠的。圖5-6是齒板死點位置180°及另一齒板位于超前120°嚙合點的單齒嚙合圖的測試結果。圖中每一棒線代表被測齒受嚙合力作用一次。比較兩圖可知,死點位置嚙合力總體水平低于120°位置時的嚙合力總體水平,與理論分析計算的結果完全吻合。

4.將各齒板過死點時的嚙合力整理成表,見表5-1所示。
表5-1齒板過死點時的嚙合力分布
| 轉角φ |
00 |
600 |
1200 |
1800 |
2400 |
3000 |
齒板號 |
第一號 |
第二號 |
第三號 |
第一號 |
第二號 |
第三號 |
死點位置 |
過00死點 |
過1800死點 |
過00死點 |
過1800死點 |
過00死點 |
過1800死點 |
P(1)×104 |
1.4039 |
1.77093 |
1.17171 |
0.20498 |
1.20178 |
1.80810 |
P(2)×104 |
1.17305 |
0.204983 |
1.2009 |
1.80283 |
1.40392 |
1.7759 |
P(3)×104 |
1.20178 |
1.80283 |
1.40614 |
1.77093 |
1.17305 |
0.194746 |
由表看出,各齒板過相同死點位置之不理時的嚙合力相等;某片齒板過死點位置時,其它兩片齒板超前或者范后干該片嚙合120°與水平軸對稱。因此,這兩片的嚙合力相等,從圖5-4也反映了這一點,這與實際情況相符合。
5.4.2高速軸行星齒輪減速器中,行星軸承受力大,壽命短,摩擦損耗大,是減速器的薄弱環節。因此,減小軸承載荷,提高行星軸承的壽命,一直是人們力求解決的問題。SHQ40型三環減速器的行星軸承動載荷,提高行星軸承的壽命,一直是們力求解決問題。SHQ40型三環減速器的行星軸承動載荷分布規律,見釁5-7、圖5-8、圖5-9所示。由圖可行出以下結論:


1.三片齒板上對應的行星軸承荷變化情況完全相同,彼此相位差120°,以360°為周期變化。
2.無論是輸入軸還是支承軸X方向的行星軸承載荷比y方向的要大,且一周內出現正負兩次峰值。這說明行星齒板在水平方向因動載荷產生的振動比垂直方向大。
3.由圖5-8可知,支承軸行星軸承在過死點時的y向軸承載荷(切向力)并不為0,說明某相機構在過死點時,是由其它兩相機構通過支承從動軸傳遞扭矩帶動該相機構通過死點的。因此,孤立地分析研究一相子機構將偏心套簡化為二力桿件建立的模型是不可靠的。
4.輸出軸的行星軸承總體載荷比支承軸行星軸承總體載荷大(圖5-9),特別是輸入軸X方向受力最大。輸入軸行星軸承載荷在死點附近取得最小值,在φ=105°、255°取得極大值。極大值產生的位置正好是機構傳動角最佳位置附近。在同一時刻,齒板上各輸入軸行星軸承的受力狀況是不是一樣的。當某一齒板接近其死點位置時,軸承載荷較小,而同時另外兩片遠離死點位置的齒板上輸入軸行星軸承載荷要大得多。支承軸的軸承載荷在一個周期內分別出現三次極大值和三次極小的值。由于這個原因使支承軸偏心套的微動磨損比輸入軸偏心套的微動磨損更為嚴重。行星軸承載荷的最大值為
F1max=40662.733713N φ=2550
F2max=32274.64763N φ=1250
根據軸承的壽命計算,三環減速器與K-H-V型少齒差行星減速器相比,K-H-V型的行星軸承當量動載荷約為三環式的1.86倍,而軸承受命,三環式的約為K-H-V型的6.33倍以上。
上一頁
下一頁