3.2.4.1 聯立方程的求取
由建立的坐標系可知:
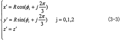
在定坐標系O′X′Y′Z′中輸入軸的三滑道軸線m1、m2、m3方程為:

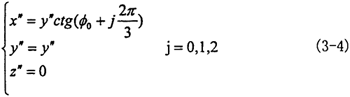
在動坐標系O″X″Y″Z″中三叉桿軸頸的軸線n1、n2、n3方程為:

定坐標系O′X′Y′Z′與定坐標系OXYZ之間的四階變換矩陣為:

下面討論如何在固定坐標系O′X′Y′Z′中表達出三叉桿軸線的參數方程。
為求出這個參數方程,我們必須解決動坐標系O″X″Y″Z″同定坐標系OXYZ之間的坐標變換矩陣[Moo″]。
已知O″點在OXYZ中的坐標為:

由于動坐標系O″X″Y″Z″的O″Y″軸取得始終垂直于固定坐標系OX軸,可認為先把OXYZ坐標系繞OX軸轉過夾角θx,使OY軸與O″Y″軸平行,再繞新的OY軸轉過θy,使OX軸與O″X″軸平行,OZ軸也同時平行于O″Z″軸(變換空間位置如圖3-6所示)。則固定坐標OXYZ與動坐標系間的變換關系如下:


所以有:

因O″Z″與OZ的交點S在OXYZ坐標系中的坐標為(O,O,L),在O″X″Y″Z″坐標系中的坐標為(O,O,
),代入式(3-5)
可推出:

由式(3-6)可知|θy|<θ,|θx|<θ一般來說θ值非常小,則θy和θx則更小。到此方向余弦矩陣[Coo″]的所有項均可求出。其具體的形式如下(為簡化書寫將θy作為已知參數代入):

于是動坐標系O″X″Y″Z″與定坐標系OXYZ之間的四階變換矩陣[Moo″]為:

其中tgθ=
,(L為圓錐擺中軸線長,P為圓錐擺底圓半徑(見圖3-3))
又坐標系O′X′Y′Z′與坐標系O″X″Y″Z″之間的四階變換矩陣為:
[Mo′o″]=[Mo′o] [Moo″]
故三叉桿軸頸的軸線方程由坐標系O″X″Y″Z″轉到坐標系O′X′Y′Z′為:

(3-7)式中A1、A2、A3、A4、B1、B2、B3、B4、C1、C2、C3、C4等于其在矩陣[Mo′o″]中對應位置的表達式。
將式(3-3)同式(3-9)式聯立,則有:

3.2.4.2 輸入、輸出轉角關系的求取
由式(3-10)中的(1)、(2)兩式,消去x″,即可求出輸入角
同輸出角
的關系。
(A1+tg
·A2)sin
-(B1+tg
·B2)cos
+
(B1+tg
·B2)-
(A1+tg
·A2)=0 (3-11)
在式(3-11)中略去sinθ的平方和高次項(根據實際情況p<<L,故θ也非常小),同時令cosθy≈1(由式(3-6)可知是合理的)。則可得出輸入同輸出轉角關系:
轉角關系:
-
≈
tgβtg2
cos3
(此處單位為弧度,后面的分析中轉化為度) (3-12)
速比關系:
=
≈1-
tgβtg2
sin3
(單位為弧度/秒) (3-13)
3.2.4.3 小桿的運動分析
3.2.4.3.1 小桿相對于滑道的運動
對式(3-10)中的第(3)式作近似處理sinθ≈
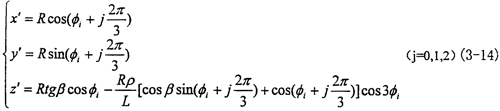
≈0,cosθ≈1(實際上p<<L,近似處理是合理的),則可得到三小桿的球面中心P在固定坐標系O′X′Y′Z′中的運動軌跡:

由式(3-14)則有小桿在滑道中的滑動位移即為坐標z′值,由于三小桿的滑動位移是相同的,可取其中之一進行表示,令h1為其位移量則可表示為:
h1=Rtgβcos
-
[cosβsin
+cos
]cos3
小桿球面中心P在定坐標系O′X′Y′Z′中的坐標(x′y′z′)表示成向量形式為:
=(x′,y′,z′),將其對時間t求導得到:
,則P點的絕對速度為vp=
。
其中:

上式中作
=wo=
=wi的處理(三叉桿式萬向聯軸器輸入同輸出的轉角差值很小,可以認為是等角速傳動,這在后面的分析中可以證明。)
=vpz是小桿沿著滑道的相對速度,將速度
再次對時間t求導可得小桿運動的加速度:
(其中
=αpz是小桿沿著滑道的相對加速度)。
假設輸入軸的轉速為定值,則ε=
=o,此時:

3.2.4.3.2 小桿(球面中心P)相對于三叉桿軸頸的運動小桿的球面中心P在動坐標系O″X″Y″Z″中的參數方程為:

(方程中hj為小桿的球面中心P到三叉桿軸線的距離,因為三小桿運動相同,故取其中之一分析,可令j=0)
將(3-17)式代入(3-10)式中第(2)個方程可得
Rsin
=B1hocos
+B2hosin
+B4
由
=
,cosθ≈1,sinθ≈0則可得出小桿球面中心P沿著三叉桿軸頸相對位移量為:
ho=R-P-2Pcos2
(3-18)
將位移ho對時間t求導可得小桿球面中心P沿三叉桿軸頸的相對速度:
4PWosin2
(3-19)
將速度
再次對時間t求導可得小桿球面中心P沿三叉桿軸頸的相對加速度:
=
=8
cos2
(3-20)
上一頁
下一頁