(2)綜合不對中180°位置:當圓環上的單元體旋轉到最左端時,也就是180°位置時,單元體的應力如下圖所示

此時的受力仍然屬于兩向應力狀態,因為徑向不對中產生的剪應力方向和扭轉產生的剪應力的方向在同一平面上而且相互平行。根據計算可以知道

此時主平面上的正應力平面的角度有這種關系

(3)綜合不對中270°位置:當圓環上的單元體旋轉到最下方時,也就是270°位置時,單元體的應力如下圖所示

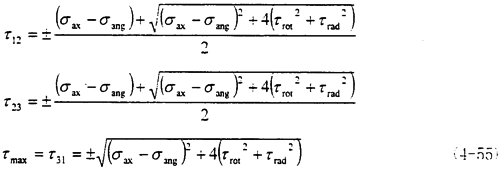
此時的應力情況屬于三向應力狀態,所以其分析過程和徑向不對中90°以及270°情況相似,只是這里還有了附加的軸向拉應力和附加的角向應力,將各個應力值

將上述主應力的值代入就可以得知

這時取σax=10.6MPa,τrad=10MPa,σang=10.6MPa,代入式(4-49)中,可以得出最大主應力為σmax=
=31.6MPa
(4)綜合不對中360°位置:當圓環上的單元體旋轉到最右端時,也就是360°位置時,單元體的應力如下圖所示

此時的受力仍然屬于兩向應力狀態,

此時主平面上的正應力平面的角度有這種關系

這時取σax=10.6MPa,τrad=10MPa,代入式(4-56)中,可以得出最大主應力值為
σmax=
=45.65MPa
現在比較一下四個不同位置時的最大主應力的大小

根據上面的分析,可以知道聯軸器在綜合受力的情況下,其總的應力情況與四個量有關,也就是σax、τrad、σang與τrot的疊加。為了能夠更加形象直觀地描述由于不對中量產生的附加應力與總應力的關系,下面進行曲線的擬合?紤]到σax與σang方向都在同一直線上,而τrad與τrot的方向也在一條直線上,但是這兩條直線相互垂直。所以以σ為橫坐標軸,τ為縱坐標軸建立坐標系后。各個不對中量都有一個范圍,因而由不對中量引的附加應力也有一個范圍,

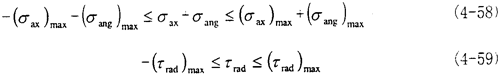
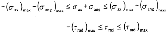
綜合以后可知,附加應力的在一個大的矩形里面變化。見圖4.39。矩形的方程由下面兩式決定:


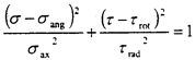
而在聯軸器旋轉一周的過程中,各個不對中量都是定值,此時應力范圍在見圖4.40的橢圓。該橢圓的方程為

4.7 本章小結
本章主要從力學的角度對聯軸器進行各種不對中的分析。從聯軸器各種不對中的分析結果可以得出以下結論。
1.在軸向不對中時,在給定的軸向不中量情況下,有最大主應力為
最大應力方向隨著旋轉角變化。
2.在徑向不對中時,在給定的徑向不中量情況下,最大主應力為發生在聯軸器360°位置,有σmax=+(τrot+τrad)。最大主應力平面方向與y軸成45°夾角。即360°位置為徑向不對中時的危險點。
3.在角向不對中時,在給定的角向不中量情況下,最大主應力發生在90°位置,
。即900位置為角向不對中時的危險點。
4.在綜合不對中時,在給定的軸向、徑向和角向不中量的情況下,最大應力為發生在聯軸器90°位置,即有
最大危險點在90°位置。
隨后根據上述結論進行了不對中量范圍的討論。最后得出了用一個大的矩形來表示由于不對中產生的附加應力的范圍。矩形的形狀由下面的兩個式子來決定:

最后根據實際情況的不對中量,繪出了聯軸器在旋轉一周的過程中最大應力的橢圓。該橢圓的方程為
。
上一頁
下一頁