4.5 角向不對中時的聯軸器的工作狀態
角向不對中時,由于兩軸之間存在一定的夾角,使得橡膠圓環最上方受到附加的拉應力,而圓環的最下端則受到附加的壓應力,這個附加的拉應力σang的大小和方向隨著圓環的旋轉角度改變而改變,在最上方時受拉,且絕對值最大,在最下方受壓,絕對值亦最大,所以其變化的過程圖形類似于余弦函數;由橡膠圓環旋轉扭矩產生的剪應力τrot方向始終與其線速度方向相反,而線速度方向在旋轉一周的過程中不斷的變化。角向不對中時的應力情況應該是σang與τrot的疊加。所以其受力情況比較復雜。分別取四個象限點的位置狀態作為研究重點,分別對單元體進行應力分析。
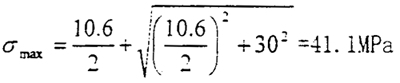
(1)角向不對中900位置:當圓環上的單元體旋轉到最上方時,也就是900位置時,單元體的應力如下圖所示

此時的受力情況其實屬于二向應力狀態,即為拉扭結合,

此時主平面上的正應力平面的角度有這種關系

應力平面如圖4.24所示。此時的最大應力值為

(2)角向不對中180°位置:當圓環上的單元體旋轉到最左端時,也就是180°位置時,單元體的應力如下圖所示

此時的受力圖中可以看出,附加的拉應力已經減小為零,實際上單元體受力其實屬于純剪切狀態,
此時主平面上的正應力平面的角度有這種關系:tg2α2=-∞,所以有α2=-45°或-135°,最大主應力值為σmax=30MPa
(3)角向不對中270°位置:當圓環上的單元體旋轉到最下方時,也就是270°位置時,單元體的應力如下圖所示

此時的受力情況其實屬于二向應力狀態,只是這時的附加應力變成了壓應力。即拉應力變成了負號。利用拉扭結合時的應力分析方程可知

(4)角向不對中360°位置:當圓環上的單元體旋轉到最右端時,也就是360°位置時,單元體的應力如下圖所示

此時的受力圖中可以看出,附加的拉應力已經減小為零,實際上單元體受力其實屬于純剪切狀態,

此時主平面上的正應力平面的角度有這種關系:tg2α4=-∞,所以有α4=-45°或-135°,此時的最大應力值為σmax=30MPa
通過角向不對中的分析可以知道,具有角向不對中的聯軸器受力情況仍然屬于兩向應力狀態,即只有拉扭結合與純剪切的情況發,沒有三向應力狀態,比較四個位置的最大主應力

可以知道,在聯軸器旋轉一周的過程中,最大主應力在90°位置。即90°位置為角向不對中時的危險點。
4.6 綜合不對中時的聯軸器的工作狀態
綜合三種不對種情況,對圓環的單元體進行綜合受力分析。由于實際工作中聯軸器兩軸之間不僅存在一定的徑向和軸向位移,而且存在一定的偏角。使得橡膠圓環受到附加的軸向拉應力σax,附加的徑向剪應τrad,附加的角向應力σang,以及由橡膠圓環旋轉扭矩產生的剪應力τrot。所以綜合不對中的應力情況應該是σax、τrad、σang與τrot的疊加。所以其受力情況比較復雜。仍然按照上面類似的方法分別取四個象限點的位置狀態作為研究對象,分別對單元體進行應力分析。
(l)綜合不對中90°位置:當圓環上的單元體旋轉到最上方時,也就是90°位置時,單元體的應力如下圖所示

此時的應力情況屬于三向應力狀態,所以其分析過程和徑向不對中90°以及270°以情況相似,只是這里還有了附加的軸向拉應力和附加的角向應力,將各個應力值σxx=σax+σang,σyy=0,σzz=0,τxy=τrot,τyz=0,τzx=τrad分別代入式(4-29)(4-30)(4-31)中,可以得到
I1=σax+σang+0+0=σax+σang
I2=0+0+0-
-0-
=
-
I3=0-0-0-0+0=0
再將三個應力不變量代入方程
- I1
+ I2σv- I3=0中,得到
-(σax+σang)
-(
)σv=0 (4-48)
解出這個方程,可以得到三個主應力的值

上一頁
下一頁