第五章 不對中齒輪聯軸器系統彎扭耦合振動力學模型
5.1 引言
在第二、第三章推導系統的運動方程時,采用了幾個基本假設,其中有一個條件是“聯軸器各內外齒承載相同”,這個條件隱含了這樣一個事實“內齒套軸線和外齒輪軸線間是在對中的條件下進行線性化的”,這一假設也是被山內進吾[32]、Marmol[34]和Kramer[35]等所普遍采用的。而齒輪聯軸器在使用過程中,內外齒輪軸線間有時會出現不對中或產生動態偏移的情況,在這種情況下各齒所分擔的載荷要發生變化,按嚙合理論[100]二者的嚙合關系應為如圖5.1所示,此時只有很少的幾個齒對嚙合(具體由重合度來確定嚙合的齒對數)。實際上即使在對中的條件下,如果考慮輪齒的誤差也會發生上述情況。日本學者Ssigeo[73]分析了齒輪聯軸器輪齒的誤差后得出了一套計算公式,通過計算可知,當m=3,Z=56時,其極限情況只有不到4對齒接觸。工程實際的分析和試驗[63,69]表明,一些采用齒輪聯軸器連接的軸承—轉子系統會程度不同地產生倍頻的振動分量,而這一倍頻分量的出現正是齒輪聯軸器不對中的典型特征,因此有必要進行相誚的分析。以往在軸承—轉子—齒輪聯軸器系統的分析中,有關彎扭耦合振動方面的研究未見報道。
本章重點討論齒輪聯軸器內外齒輪軸線間具有動態不對中時系統的建模問題,有關二軸線間存在靜態不對中時的情形,我們將在第七章作詳細地分析。本章的內容安排如下:首先根據內外齒輪的齒面方程和不脫齒的嚙合條件,推導了齒輪聯軸器所滿足的約束方程,然后由拉格朗日方程,在旋轉坐標系中建立了軸承—轉子—齒輪聯軸器系統的彎扭耦合運動方程,并分析了產生彎扭耦合的原因。
5.2 漸開線直齒內齒輪副(零齒差)傳動的運動學分析

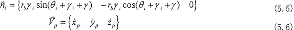
設Si(oixiyizi)坐標系是與內齒套固連的動坐標系,如圖5.2所示。xi軸與內齒套某一齒的一側齒形相交于基圓(半徑為rb)上,z軸與內齒套軸線重合,oi為坐標原點。設S(oxyz)坐標系為固定坐標系,則有

同理設Se(oexeyeze)坐標系是與外齒輪固連的動坐標系,可得

在動坐標系中,漸開線直齒齒面上任意一點P的齒面方程(內齒套)為

式中 γk=α+βk k=i,e
將(5.3)式代入(5.1)式得

在S坐標系中,內齒套齒面上P點的法線向量和速度分別為


同理可得,外齒輪上p′點的法線向量和速度為


不脫齒輪嚙合的條件為

由此可得

其中:A為兩輪中心連線的長度,即
積分(5.10)式即得
(θi-θe)2=[(xji-xje)2+(yje-yje)2]/rb2 (5.11)
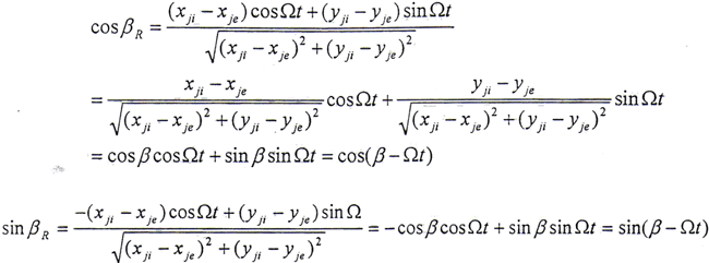
設β角是連心線與x軸之間的夾角,參見圖5.1,則有

實際上在S系中p和p′的對應坐標應相等,由此可方便地得到
β+π/2=γ+θi+γi=γ+θe+γe (5.13)
上式表明嚙合線與連心線是平行的,這一結論與文獻[100]相同,這從另一個側面驗證了(5.10)式、(5.11)式的正確性。以上的嚙合關系與外齒輪嚙合具有類似的形式,只不過在齒輪聯軸器中,內外齒輪的基圓半徑是相等的。由式(5.13)可以得

在上式中,如果轉動角速度Ω是勻速的,并且
k=i,e是小量時,則
此時,β是以Ωt加上一個微小變化的轉角。這樣內齒套、外齒輪及二軸中心線的連線均是以軸的轉動角速度Ω加上一個微小變化的量旋轉的。
5.3 半齒輪聯軸器系統彎扭耦合的動力學分析
軸承—轉子系統動力學方程的建立可參考文獻[90],下面主要討論在齒輪嚙合處運動方程的建立。由齒輪聯軸器連接的轉子系統見第三章的圖3.1,由一對齒數相等的內嚙合齒輪和左右二段軸組成。設oxyz是固定坐標系,oξηz是旋轉坐標系,Ω是圓盤的轉動角速度。

如果將(5.11)式變換到旋轉坐標系oξηz中,則有

設

βR表示在旋轉軸系中,內外齒輪中心連線與ξ軸之間的夾角。因為

β是內外齒輪連心線與x軸的夾角。
從而可得

由此可見βR與β相差一個Ωt。
5.3.1 圓盤的運動及其動能計算
圓盤的運動可分解成隨其質心的平動和繞質心的轉動。質心o1的平動位移為(xc,yc),不計沿z軸方向的運動。圓盤繞質心的轉動可用三個歐拉角來表示,如圖5.4所示。設o1XYZ是與oxyz平行的坐標系。o1XYZ坐標系的單位矢量為
,o1xmymzm系的單位矢量為
,(m=1,2,3),則圓盤的轉動由如下三個步驟完成:
(1)繞o1Z軸轉Θ至o1x1y1z1;
(2)繞o1x1軸轉-ε至o1x2y2z2;
(3)繞o1y2軸轉δ至o1x3y3z3;

在各坐標系中,單位矢量之間的關系

圓盤的轉動角速度


在轉子系統中,自轉角Θ=Ωt+θ,以上偏角ε,δ,θ,ψ,φ均是小量,則可得出如下關系

圓盤的動量矩

對于圓盤,其動能包括平動動能和轉動動能

其中

5.3.2 旋轉坐標系中的運動方程
在小擾動下滿足關系式(5.15),再由式(5.11)和式(5.16)可得
rb2(θji-θje)2=(ξji-ξje)2-(ηji-ηje)2 (5.26)
其中下標變量je、ji分別表示第j個結點處外齒輪和內齒輪。
上式是一個反應齒輪嚙合處內外齒輪的扭轉擾動角和橫向位移之間的約束關系,而且是一個完整約束。對于具有復雜約束關系的多自由度系統,利用拉格朗日方程來建立系統的運動方程具有許多優點,因此被廣泛采用。
半齒輪聯軸器系統的動能包括內外齒輪的平動動能和轉動動能;彈性勢能包括左右軸段的彈性勢能和半齒輪聯軸器的彈性勢能;耗散函數包括內外齒輪之間的橫向內阻尼和轉角內阻尼,由于扭轉內阻尼較小可將其忽略,具體的分析過程可參見第三章3.2.2和3.2.3節。這樣取q=ξje,ηje,δje,εje,θje,ξji,ηji,δji,εji為廣義坐標,將以上的約束方程(5.26)式代入半齒輪聯軸器系統的動能,勢能及耗散函數中,消去多余的變量θji,再由拉格朗日方程就可以得到在齒輪嚙合處的運動微分方程。由于推導過程比較冗長,在此僅列出最終的運動微分方程。對于小偏離情況,將其中的高階小量略去,則對于第j個結點(其中外齒輪下標為e,內齒套下標為i)





(5.27)式、(5.28)式中所定義的Ω方向與Z軸方向相同,當Ω方向與Z軸方向相反時,Ω以-Ω代入即可。從上式可見,方程系數矩陣中的元素與βE有關,而βR又與系統的廣義坐標有關,因此方程是非線性的。只有在βR變化很小時才能進行線性分析。
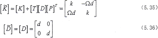
通過上述過程,得到了半聯軸器系統的運動微分方程,再與其他各結點的運動方程集合在一起,就得到轉子—齒輪聯軸器系統的運動方程。然而,對于旋轉機械,在轉子的某處總存在著軸承,即形成軸承—轉子—齒輪聯軸器系統,這樣就需要引入支承條件,具體的做法是只要在轉子—齒輪聯軸器系統上具有軸承支承的自由度處用廣義力(即軸承油膜力)來反映支承的影響。以滑動軸承為例,經過線性化處理后的油膜力在固定坐標系中可表示為

其中kxx,kxy,kyx,kyy為油膜剛度系數,dxx,dxy,dyx,dyy為油膜阻尼系數。
變換到旋轉坐標系中以后

由此得

式中

其中
是與時間有關的(即其中的每個元素均是Ωt的正弦和余弦函數),只要將上面的
加到相應結點處的運動方程的左邊,即可得到在旋轉坐標系中的軸承—轉子—齒輪聯軸器系統的運動微分方程。
一個特例是當油膜剛度系數和阻尼系數采用如下關系
kxx=kyy=k kxy=kyx=0 dxx=dyy=d dxy=dyx=0 (5.34)
則得

動態油膜力為

此時動態油膜力不隨時間而變化。
如果在某些情況下,不能將滑動軸承的油膜力線性化或者因線性化而帶來較大誤差,那么可以采用非線性油膜力模型。
對于軸承—轉子系統而言,彎曲振動和扭轉振動是整個軸系振動的兩個部分,以往在分析此類系統時往往把二者分割開來,原因是用來表征它們運動的廣義坐標是解耦的,但在大型的軸承—轉子系統中加入了齒輪聯軸器之后,系統的彎曲振動和扭轉振動就耦合起來了,不能再把二者分割開來。
這樣集總后的軸承—轉子—齒輪聯軸器系統的運動方程。簡寫為

其中 {ζ}—系統的位移、轉角列陣
[M]—廣義質量矩陣
[C]—包括阻尼陣、陀螺力陣、科氏慣性力陣等
[K]—包括剛度陣、牽連慣星力陣等
以上在旋轉坐標中建立了軸承—轉子—齒輪聯軸器系統的彎扭耦合運動微分方程,這樣就可以深入地探討聯軸器內齒套和和外齒輪之間的相對運動關系以及齒輪聯軸器在整體系統中的影響。
系統方程的無量綱化過程可參見第三章3.5節。
上一頁
下一頁