3.5 無量綱化
在工程分析計算中,位移、時間和力是基本量,其它是導出量,因此各無量綱化定義如下:
無量綱位移:Xj=xj/d0,Yj=yj/d0,Ljlj/d0,Dj=dj/d0;
無量綱時間:τ=Ωt;
無量綱剪力:
無量綱力矩:
無量綱質量和轉動慣量:
無量綱剛度系數:
無量綱阻尼系數:
無量綱轉動角速度:
=Ω/ωk;
其中:ωk為一階臨界轉速;

設系統方程的解為:x=x0eλt,λ=-u+iv;
則相應的無量綱表達式為:
;
式中:
=λ/Ω=-U+iV,而 U=u/Ω,V=v/Ω。
經上述過程后,將式(3.20)和式(3.21)無量綱化,就可以方便地寫出無量綱形式的系統運動微分方程。限于篇幅在此從略。
3.6 系統方程的求解
當{F}=0時,式(3.20)為自由振動方程,可以對系統進行模態分析。此時式(3.20)所對應的特征值問題為
(λ2[M]+λ([G]+[C])+[K]+[S]){φ}=0 (3.29)
這是一個二次特征值問題,可以化為一般的廣義特征值問題求解。求解的方法有QR法、Lanczos法和廣義逆迭代法等,本文采用廣義逆迭代法[90]。
當{F}≠0時,可以對系統進行各種強迫振動分析。在轉子系統中,最主要的外激振力是轉子的不平衡而引起的慣性力,因此只要確定了轉子的不平衡量及其作用的位置,就可以計算系統的不平衡響應,常用的方法有振型疊加法、直接積分法和高斯消去法[90]。本文采用高斯消去法直接求解系統的不平衡響應。
3.7 軸承—轉子—齒輪聯軸器系統的動力學分析
軸承—轉子—齒輪聯軸器系統的動力學分析包括系統的穩定性和模態分析以及臨界轉速和不平衡響應的計算等內容。下面主要來討論齒輪聯軸器的動力特性對系統的影響。
計算模型如圖3.6所示。整體系統由一個齒輪聯軸器連接的二個Jeffcott轉子系統所組成,共有三跨,因此是一典型的多跨軸承—轉子系統。齒輪聯軸器的結構近似選用CL5型,為方便問題的討論,重點分析左右對稱布置的系統。系統具體的結構參數見表3.1。工作轉速為n=3000rpm。齒輪聯軸器對中良好,全齒寬接觸。計算采用無量綱化(在后面的計算中,如無特殊說明均為無量綱)。傳統上計算此類問題時往往采用兩種方法,第一種方法是將聯軸器人為截斷,只計算系統的左側或右側轉子[18,50],即單軸分析法,這樣系統為一單跨軸承—轉子系統,系統靜定負荷分配簡單,但是卻忽略二轉子之間的耦合作用;第二種方法是整體分析法,這一方法是將整個系統作為研究對象,將齒輪聯軸器用一等效的軸段[6]來代替(故稱之為等軸法),等效軸段長度的剛度即為等效剛度,此時系統是超靜定的。從直觀上看這樣處理似乎比單軸分析法更為合理,但是其中等效軸段的長度不易確定。為便于比較在下文中凡涉及到等效軸法的計算結果均是以聯軸器的實際長度作為等效長度而得的。

表3.1 對稱轉子系統的結構參數
| 軸段及材料 |
圓盤 |
圓軸承 |
| li=0.5m(i=1,2,6,7) |
軸徑 d=0.09m |
質量 m=700kg |
長徑比 B/d=0.5 |
| l3=l5=0.15m |
彈性模量E=206GPa |
極轉動慣量Jz=12.0kg·m2 |
間隙比 ψ=0.2% |
| l4=0.15m |
泊松比 μ=0.3 |
赤道轉動慣量Jd=6.0kg·m2 |
動力粘度μ=0.0221Pa·s |
3.7.1 齒輪聯軸器對軸承特性的影響
對于對稱軸承—轉子—齒輪聯軸器系統,計算步驟如下:1)軸心的平衡位置隨轉速的變化關系,結果如圖3.7所示。2)軸承的油膜剛度和阻尼系數隨轉速的變化關系,結果如圖3.8所示。由于在兩側轉子上對應軸承的特性相同,故僅列出在左側轉子上二個軸承(#1和#2)處的結果。


從以上的計算結果來看,用等效軸法計算軸承的軸心位置,#1軸承處的偏心率明顯偏小,偏位角偏大,而在#2軸承處則正相反。這表明采用等效軸法會使轉子的平衡位置產生較大的誤差,也預示著#1軸承和#2軸承之間負荷分配的變化。另外比較#1和#2軸承的結果,還可以看出,聯軸器的作用使得二個軸承的負荷分配趨于接近,而等效軸法從某種意義上講相當于二個轉子的直接對接,必將造成二軸承負荷分配不均,在工作轉速下各軸承處的負荷分配見表3.2,因此對軸承的受力來說這也正是采用齒輪聯軸器的優點所在。從二軸承處的動特性來看,#1軸承的各項剛度和阻尼系數比等效軸法大,而#2軸承的各項剛度和阻尼系數則比等效軸法小,這歸根到底也是軸承負荷分配發生了變化的結果。如果采用單軸分析方法計算,以左側轉子為例,由于聯軸器的質量與圓盤相比要小許多,系統近似為一對稱轉子系統,則作用在#1和#2軸承上的負荷相差不大,因此二個軸承處的動特性系數也比較接近。由于軸承的靜、動特性發生了變化,因此勢必引起系統動態特性的變化。
表3.2 工作轉速下各軸承處的負荷分配(kg)
| |
#1軸承 |
#2軸承 |
#3軸承 |
#4軸承 |
| 本文方法 |
311.55 |
414.45 |
414.45 |
311.55 |
| 等效軸法 |
259.64 |
465.17 |
465.17 |
259.64 |
3.7.2 齒輪聯軸器對系統復特征值和復模態的影響
下面對二側對稱的軸承—轉子—齒輪聯軸器系統進行分析計算。
(1)按‘等效軸’法計算,結果見表3.3。
表3.3 按‘等效軸’法計算得不同轉速下系統的特征值
| 相對工作角速度Ω/ωk |
No. |
i=u/Ω+iv/Ω |
| 1.00000 |
1 2 3 4 |
-0.34774D-01+i0.72585D+00 -0.22925D-01+i0.76828D+00 -0.41981D-01+i0.83403D+00 -0.28089D-01+i0.85016D+00 |
| 1.43719 |
1 2 3 4 |
-0.83590D-05+i0.51463D+00 -0.15650D-02+i0.53676D+00 -0.27019D-01+i0.57455D+00 -0.23805D-01+i0.58722D+00 |
| 1.43819 |
1 2 3 4 |
0.35243D-04+i0.51430D+00 -0.15355D-02+i0.53639D+00 -0.26998D-01+i0.57414D+00 -0.23797D-01+i0.58681D+00 |
注:ωk=314.159 rad/s(不同)。
(2)不計齒輪聯軸器內阻尼按本文方法計算,結果見表3.4。
表3.4 不同轉速下軸承—轉子—聯軸器系統的特征值
| 相對工作角速度Ω/ωk |
No. |
i=u/Ω+iv/Ω |
| 1.00000 |
1 2 3 4 |
-0.19310D-01+i0.63059D+00 -0.14980D-01+i0.64585D+00 -0.18366D-01+i0.72318D+00 -0.65746D-01+i0.80639D+00 |
| 1.26417 |
1 2 3 4 |
-0.14454D-04+i0.50838D+00 -0.44376D-03+i0.51607D+00 -0.16639D-01+i0.57032D+00 -0.57178D-01+i0.62901D+00 |
| 1.26517 |
1 2 3 4 |
0.35627D-04+i0.50801D+00 -0.40779D-03+i0.51568D+00 -0.16633D-01+i0.56986D+00 -0.57150D-01+i0.62848D+00 |
比較上述二種情況,可以看出在工作轉速Ω/ωk=1.0時,表3.3所列系統低階特征值的實部和虛部的絕對值明顯要大于表3.4所對應的值,這表明:1)在正常工作狀態下,按等效軸法計算得的系統對數衰減率和固有頻率要大。按等效軸法計算,在Ω/ωk=1.43819時系統失穩;而按本文的模型,即使在全齒寬接觸的情況下,系統的失穩轉速也只為Ω/ωk=1.26517,這說明用等效軸法來計算這類系統的失穩轉速,數值明顯偏高,是極不合適的。2)通過比較Ω/ωk=1.0時,低階固有頻率值的數值可以推出,按等效軸法所計算得的系統的低階臨界轉速也是偏高的,這一現象在一實際的軸承—轉子—齒輪聯軸器系統中被證實[66],因為等效軸法實質上相當于齒輪聯軸器被鎖定時將二個轉子看成為一個整體,這樣處理相當于給系統增加了一個約束,結果自然會失真。關于系統的臨界轉速在后面我們還將作詳細的討論。如果按單軸分析法計算,系統的失穩轉速Ω/ωk=1.19215。因此用等效軸法(按聯軸器的實際長度作為等效長度)和單軸分析法所計算得的系統失穩轉速實質上是二個極限,前者偏高不安全,而后者偏低過于保守。
(3)齒輪聯軸器的內阻尼對系統失穩轉速的影響
齒輪聯軸器的內阻尼系數可由上一章的方法計算。總的來說,聯軸器的內阻尼受系統工況的影響較大,在不同的工況下內阻尼會有所變化。設各齒承載相同,即聯軸器對中良好,其中扭矩T取為CL5型齒輪聯軸器許用扭矩的一半;按照文獻[34],齒面間的滑動摩擦系數取為f=0.15;ω應為轉動角速度與最易產生失穩的渦動角速度之差,失穩一般首先發生在低階,在此渦動頻率取為第一階固有頻率。相對橫向振幅為CL5型聯軸器[88]內外齒輪之間的徑向間隙c,相對轉角振幅為arctg2c/l,其中l為內外齒輪的接觸寬度。這樣可以計算得到在工作轉速下無量綱內阻尼系數為Cl=0.38,Ca=3.67×10-3。系統的失穩轉速見表3.5。
表3.5 不同轉速下軸承—轉子—聯軸器系統的特征值
| 相對工作角速度Ω/ωk |
No. |
i=u/Ω+iv/Ω |
| 1.00000 |
1 2 3 4 |
0.19315D-01+i0.63062D+00 -0.14968D-01+i0.64611D+00 -0.19918D-01+i0.72273D+00 -0.66795D-01+i0.80548D+00 |
| 1.26317 |
1 2 3 4 |
0.21974D-04+i0.50879D+00 -0.14346D-03+i0.51674D+00 -0.18046D-01+i0.57034D+00 -0.57988D-01+i0.62870D+00 |
| 1.26417 |
1 2 3 4 |
0.30147D-04+i0.50842D+00 -0.10558D-03+i0.51636D+00 -0.18039D-01+i0.56988D+00 -0.57959D-01+i0.62818D+00 |
比較表3.4和表3.5二種情況,系統的失穩轉由1.26517降為1.26417,顯然變化很小。而且失穩時的渦動頻率也幾乎不變。如果將各內阻尼系數增大為原來的5倍,則失穩轉速在ω/ωk=1.23417~1.23517之間。由此可見,在對中良好并且內外齒輪間潤滑充分時,聯軸器內阻尼對系統失穩轉速的影響不十分明顯。當然在潤滑失效并且對中不良時,由于偏載效應而引起齒面間的摩擦力(力矩)可能要大得多[6],此時內阻尼系數也會相應增大。
(4)齒輪聯軸器耦合系統的復模態
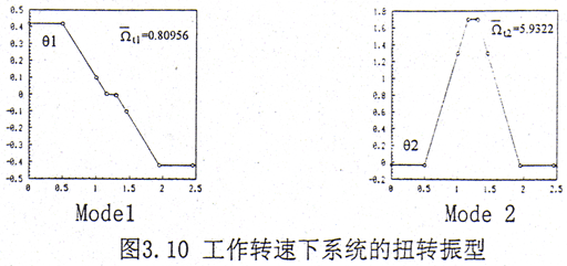
在ka=0.128不計內阻尼時,工作轉速下系統的前12階彎曲振動復模態圖見圖3.9。從復模態圖上可以看出,在低階彎曲模態中,輪齒的變形是較小的,輪齒變形較大主要發生在高階模態中。這與實際情況比較接近,因為在實際的轉子系統中,輪齒的剛度一般比軸段的剛度要大許多,因此在低階的彎曲模態中,輪齒的變形體現不出來。系統前2階的扭轉振型如圖3.10所示。在前二階扭轉振型中輪齒變形也較小。


上一頁
下一頁