|

同理,橫向彎曲的曲率半徑為

同薄板純彎曲理論可知,當應力不超過極限時,材料的泊松比為橫向應變與軸向應變之比

將(3-23),(3-24)代入(3-32)可得

(圖3.8)設待測試件的厚度為h.則

由于ρ1>>h/2,ρ2>>h/2,所以有:

經過試驗和對考國內外相關文獻,泊松比υ定為0.4997。
3.7剪切模量和彈性模量的確定
橡膠材料的切變模量G與材料的牌號和組成成分幾乎無關,而與橡膠的硬度有關,一般可由以下公式計算:

式中HS——邵氏硬度
e——自然對數的底
該課題所研究的彈性聯軸器的橡膠元件的硬度為70,根據式(3-37),剪切模量G=425Mpa。
橡膠材料在拉伸和壓縮的作用下,載荷與變形間關系為非線性,但當應變在±0.15范圍內,可將應力和應變的關系近似表示為:σ=Eε。別外由材料力學我們可知,彈性模量E和切變模量G之間的關系為:

聯軸器各參數如下表3-1所示
表3.1 聯軸器參數
| 剪切模量GMpa |
彈性模量EMpa |
動剛度k |
阻尼比η |
泊松比γ |
| 425 |
1274.7 |
1.4 |
0.2 |
0.4997 |
3.8 固有頻率的計算
阻尼的存在主要影響軸系發生扭振時各聯軸節的扭矩變化曲線和扭振振幅衰減過程,對軸系的疲勞壽命消耗起著重要的作用,但對固有頻率及振型的確定影響不大。國外有學者對無阻尼及考慮阻尼兩種情況下的大機組軸系扭振特性進行了計算與實測對比,發現二者之間的差異很小,因此在進行扭振特性的振動頻率理論分析和實驗驗證中可以不記入阻尼的影響。
首先進行等效處理,將聯軸器兩端鐵圈的轉動慣量等效均布到中間橡膠元件的軸上。等效的原則是轉化前后系統總的轉動慣量不變。圖3.11中b的虛線表示等效后的均布載荷。

假定等效后b的斷面在扭轉過程中保持為平面,斷面原來任一半徑仍保持為直線。
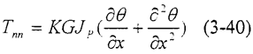
由兩個相鄰正截面在軸上取微元dx,如圖3.12 ,記θ(x,t)表示在t時刻在位置x處截面扭轉角。則作用在微元dx的面mm上的扭矩為

在面nn上的扭矩為:

式(3-39),(3-40)中,G—材料的剪切模量
JP—軸斷面的極慣性
K—動倍率

微元dx的轉動角加速度為:

此時系統單位長度上的轉動慣量為:

式中ρ—材料的密度kg/m3
I1——大鐵圈轉動慣量N·m·s2
I1——小鐵圈轉動慣量N·m·s2
l——橡膠軸的長度m
聯微元dx.由牛頓力學定律得微元段轉動微分方程式

令 代入式(3-43)并整理上式,有:

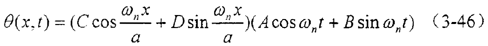
此微分方程解的形式必為:

將式(3-45)代入式(3-44),得解:

式中A,B和C,D——積分常數,可以通過邊界條件加以確定,對于兩端自由的軸,端面扭矩為零,
ωn——固有頻率
橡膠圓軸兩端邊界條件為:

聯軸器橡膠圓軸件長度為55mm、大的鐵圈外徑為362mm,內徑265mm,小的鐵圈外徑322mm,內徑190mm,內部橡膠件外徑298mm,內徑265mm。固有頻率計算結果分別如下3-2所示:
表3.2固有頻率
| 一階頻率hz |
二階頻率hz |
三階頻率hz |
四階頻率hz |
| 45.17 |
90.34 |
135.51 |
180.68 |
3.9扭轉振動動力特性計算
假設主動端有穩定轉矩T0和擾動轉矩Td2sinωt,設穩定轉矩產生的轉角為φ1,擾動轉矩產生的轉角為φ2,則主動端和從動端的相對轉角φ0為穩定扭矩和擾動扭矩產生的轉角之各,即有:

由材料為學可知:

式中L——聯軸器長度m
G——聯軸器材料的剪切模量,mpa
IP——截面極慣性矩m4
D——套筒的外徑m
d——套筒的內徑m
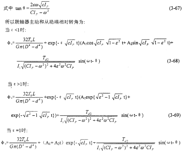
現單獨考慮擾動轉矩產生的相對轉角φ2,目前國內建立了圖3.13所示力學模型[2],出于橡膠件相對于兩側的鐵圈剛性很小,現假設:(1)只有聯軸器兩側的鐵圈具有剛性,只有橡膠具有彈性和阻尼;(2)聯軸器主動側作用有按簡諧規律變化的擾動轉矩分量Tdlsinωt此時按照動量矩定理,按聯軸器兩側力矩平衡條件,可以分別列出兩個圓盤的轉動運動方程式,即系統振動的微分方程是:


式中φ1——主動圓盤的轉角rad
φ2——從動圓盤的轉角rad
φ——兩圓盤的相對轉角rad

I1,I2——主,從動盤的等效轉動慣量N·m·s2
C——聯軸器剛度N·m/rad
r——聯軸器粘滯阻尼系數N·m·s/rad

1—主動盤;2—聯軸器;3—從動盤




方程(3-57)特征方程為:

方程(3-58)的解的形式取決于 的值,當 時,(3-58)有兩個相同的實根,此時 ,稱為臨界陰阻尼系數。

當ε<1時,(3-58)有共扼復根,稱為欠阻尼情況,方程(3-57)的解為:


得到了聯軸器主動端和從動端的相對轉角后,就可以得到聯軸器內部由于發生扭轉產生的應力大小。
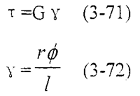
當材料力學可知:扭轉產生剪應力τ

式中G——材料的剪切模量mpa
γ——剪應變rad
φ——相對扭轉角rad
r——該處的半徑m
l——聯軸器的長度m
當聯軸器同時受到穩定轉矩和擾動轉矩時,產生的剪應力則為

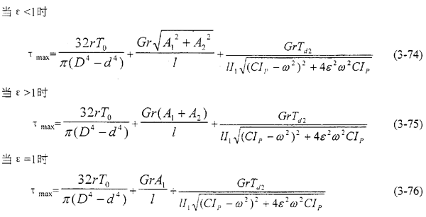
將式(3-68),(3-69),(3-70)分別代入(3-73)可得:

比較式(3-74),(3-75),(3-76)可知,由于 ,所以當阻尼系數等于臨界阻尼系數時,產生的剪切應力最小,此時 。由于對于一定的材料制作的聯軸器,因為材料的阻尼特性是一定的,因此在以后聯軸器的設計過程中,可以通過控制兩端的轉動慣量,或者通過改變聯軸器本身的尺寸來控制它的扭轉剛度,力求使 的值盡可能的接近阻尼系數,從而減少產生的剪切力,提高聯軸器的工作狀態和延長聯軸器的使用壽命。
上一頁
下一頁
|