第五章 鼓形齒聯軸器參數優化
影響鼓形齒聯軸器承載能力和工作壽命因素較多,如齒輪參數、制造質量、材料及熱處理、潤滑條件等等。齒輪參數的設計是其中非常重要的一個方面。由于缺乏對鼓形齒聯軸器機理的研究,現在使用的齒輪參數的設計沒有可靠的依據,設計計算比較粗略。通過前一章對鼓形齒聯軸器的深入的嚙合和力學機理研究,我們可以對齒輪參數的影響加以討論,建立適當的參數優化模型,求解出最優的鼓形齒聯軸器參數,為經濟可靠地設計長壽命鼓形齒聯軸器提供依據。
5.1 鼓形齒輪鼓度曲線的優化
由第四章的分析知,共軛齒面鼓形齒聯軸器具有較好的傳動特性,其嚙合重合度大,線接觸嚙合,無齒面曲率干涉,等速傳動等。因而接觸強度高,無附加動載荷。共軛齒面鼓形齒聯軸器的鼓形齒輪可采用“雙分齒切齒法”加工[116],但由于該方法所用附加裝置結構剛性較差,因此不適宜于加工較大模數的鼓形齒輪。非共軛齒面鼓形齒輪是在不同軸載面上采用不同變位系數形成齒面的,其變位量與軸向坐標的關系曲線就是鼓度曲線,它可以在經改裝后的滾齒機上加工,加工范圍不受工藝裝備限制。但是根據前面分析知,傳統的圓弧鼓度曲線的鼓形齒聯軸器傳動特性較差。因此,對鼓度曲線進行優化,使非共軛齒面鼓形齒聯軸器具有更優良的傳動特性,是鼓形齒聯軸器參數優化的一個重要內容。
由于共軛齒面鼓形齒聯軸器具有最佳的傳動特性,因此將非共軛齒面與共軛齒面進行曲面逼近,所得到的非共軛齒面無疑是最佳的。
5.1.1 坐標系及坐標變換
坐標系及坐標轉換關系與3.3.4.1所給相同。
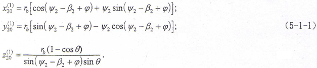
5.1.2 共軛齒面鼓形齒輪齒面方程
共軛齒面鼓形齒輪齒面在S20坐標系的方程在第三章已推出為

式中各量與前述相同。
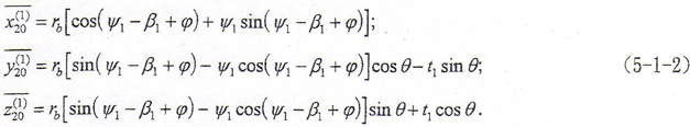
5.1.3 非共軛齒面鼓形齒輪齒面方程
與第四章的非共軛齒面鼓形齒輪齒面方程推導類似,可以得出其齒面方程在S20坐標系的方程為

式中 β1=π/(2z)+2δtgα/(mz)+tgα-α+(2xr1tgα+xτ1)/z;δ為鼓形變位量,由不同軸截面上δ值擬合出的曲線即為鼓度曲線。其余各量與前述相同。
5.1.4 鼓形變位量δ的求解
數學方法上,兩曲面的逼近是“極大極小問題”,雖已有這方面的理論探討,但還沒有成熟的計算軟件。本文采用截面曲線逼近的方法(如圖5-1所示),將軸向坐標離散,求得各截面上曲線逼近的δ值,再根據δ值的軸向分布形態,確定擬合的函數形式,以最小二乘法擬合出鼓度曲線。

1.各截面上δ值的求解
先假設δ為零,在共軛和非共軛鼓形齒輪上截取與中截面等距離的軸截面,將兩種齒面的軸截面疊合,此時,齒面與截取面的兩條交線不重合;以齒面與截取面的兩條交線相切為目標進行一維搜索計算,即可求得此截面上的δ值。在齒寬不同位置分別進行計算,即可求得一系列關于δ與軸向坐標的離散點坐標值。
2.鼓度曲線的擬合
通過對不同參數鼓形齒輪的曲面逼近計算,得到多組關于δ與軸向距離的離散坐標值。由離散點的分布形態及最小二乘法擬合計算知[119],擬合成雙曲線的誤差最小。優化鼓度曲線及其坐標如圖5-2所示,擬合雙曲線方程為

式中 a——雙曲線的漸近線斜率;
b——雙曲線頂點與分度圓柱線的距離。

由(5-1-1)式和(5-1-2)式,根據上述方法,可編制優化鼓度曲線參數的計算程序,用該程序,只需輸入鼓形齒聯軸器參數,便可計算出優化鼓度曲線的曲線參數a和b。根據多組參數計算發現,雙曲線的漸近線斜率a=tgθ/tgα,與其他齒輪參數無關;雙曲線頂點與分度圓柱線的距離b與各齒輪參數有關,但關系較復雜,因此該參數直接由優化計算程序得出。
文獻[77]采用計算機交互圖像技術進行數值分析和綜合,精度受到一限制,也未給出定量解,其定性分析結果與本文的結果較接近。
5.1.5 運動分析
由第四章所給出的內齒輪齒面方程(4-1-3)式及優化鼓度曲線的鼓形外齒輪齒面方程,運用非共軛鼓形齒聯軸器運動分析方法,可進行運動分析。將式(5-1-3)的δ代入(5-1-2)式的β1中,可得優化鼓度曲線鼓形齒輪齒面方程為

式中 
對相同齒輪參數的優化鼓度曲線和圓弧鼓度曲線鼓形齒輪聯軸器在相同的軸交角下進行運動分析計算,得出的對比數據如表5-1所給。從這兩組數據可以看出,在存在工作軸間傾角下,優化鼓度曲線的△φmax(°)比圓弧鼓度曲線的△φmax(°)有大幅度的減小。△φmax(°)值反映了鼓形齒聯軸器運動的非勻速程度、實際嚙合對數多少及嚙合齒對的載荷分配情況。△φmax(°)越小,非勻速程度越小、實際嚙合齒對數越多、載荷分配越均勻。因此,由嚙合運動分析可以看出,優化鼓度曲線的鼓形齒聯軸器比圓弧鼓度曲線鼓形齒聯軸器的嚙合特性有很大的改善。而且在經數控化改造后的滾齒機上,加工優化鼓度曲線的鼓形齒輪也非常方便。因此,鼓形齒輪鼓度曲線的優化是改善鼓形齒聯軸器傳動特性、提高其工作壽命的有效而可行的重要途徑。
表5-1 嚙合最大差角△φmax(°)
| 鼓形齒輪參數 |
軸交角 |
圓弧鼓度曲線 |
優化鼓度曲線 |
m=3mm z=56 位移圓半徑 rg=131.0mm 雙曲線參數a=0.072 b=0.060 |
1.5° |
0.090816 |
0.009631 |
| 1.0° |
0.040444 |
0.008722 |
| 0.5° |
0.010121 |
0.002179 |
m=12mm z=48 位移圓半徑 rg=333.5mm 雙曲線參數a=0.072 b=0.111 |
1.5° |
0.067077 |
0.019598 |
| 1.0° |
0.030581 |
0.008707 |
| 0.5° |
0.007566 |
0.002176 |
5.2 齒輪參數對鼓形齒聯軸器傳動特性的影響
5.2.1 模數和齒數
齒輪的模數由輪齒彎曲強度所決定。模數越大,齒根厚度越大。輪齒的彎曲強度越高。對于傳遞一定力矩的鼓形齒聯軸器,標準中規定了其外部尺寸,即確定了齒輪的徑向和軸向尺寸。由鼓形齒聯軸器重合度分析知,分度圓直徑一定時,減小模數、增大齒數,可以提高重合度,因此應在滿足彎曲強度條件下,選用較小的模數。齒數應取為2的倍數,因為從嚙合分析知,嚙合的受力狀態是關于原點對稱的,齒數為2的倍數有利于受力的平衡。另外,對于內齒輪,還要求齒頂圓直徑大于基圓直徑,即

若采用正變位齒輪,其齒數可小于上述值。
5.2.2 齒高系數
齒高系數越大,重合度越大,但齒高系數的增大對重合度增大的影響較小。從齒面接觸線形態看,增加齒高有利于提高接觸強度。齒高增加,齒面滑動系數增加。因此總的來看不宜以增加齒頂高系數來增加重合度。
鼓形齒聯軸器中,外齒輪齒頂高系數為ha1*,其齒根高系數為hf1*=ha1*+c1*;內齒輪齒頂高系數為ha2*,其齒根高系數為hf2*=ha2*+c2*,且hf2*=ha1*,在我國現行產品中有ha1*=1、hf1*=1.25、ha2*=0.8、hf2*=1和ha1*=0.8、hf1*=1.05、ha2*=0.8、hf2*=0.8兩種。
5.2.3 壓力角
分度圓壓力角對輪齒曲率、齒根和齒頂厚度及法線方向有影響,因而也對嚙合時的誘導法曲率、齒面滑動率、重合度、齒面作用力及輪齒接觸應力和彎曲應力有影響。增大壓力角,誘導法曲率減小、接觸強度提高;齒根厚度增大,彎曲強度提高;齒面滑動率減小,改善了磨損;重合度減小,但相對減小量不大;法向力增大。考慮到市場上能方便地買到齒輪刀具,我國目前一般采用α=20°。
5.2.4 變位系數
鼓形齒聯軸器是等齒數的交錯軸內外齒輪傳動,因此只能采用等徑向變位(即xr1=xr2)。采用正的徑向變位與增大壓力角有類似的影響,但采用徑向變位比改變壓力角在加工上更容易實現,因為改變壓力角需用專用的刀具。采用切向變位可以改變內外齒輪的齒厚,但不影響其他嚙合特性,鼓形齒聯軸器的嚙合側隙就是采用切向變位來保證的。
5.2.5 齒寬系數
齒寬系數影響輪齒的齒根彎曲強度和接觸強度,齒寬系數大,兩項強度值越大。齒寬系數影響重合度,在齒寬系數小于一定值范圍時,其值的增大對重合度增加影響較大,而在大于這個一定值時,其值的增大對重合度增加影響較小(見圖4-4b)。對于圓弧鼓度曲線的鼓形齒聯軸器,齒寬還是確定鼓度半徑和側隙的參數,齒寬越大,鼓度圓弧半徑越大,所需的側隙也越大。因此,在齒根彎曲強度和齒面接觸強度足夠的條件下應以有較大的重合度來確定齒寬,不應盲目增加齒寬,以免使結構尺寸不必要地增加。一般取齒寬系數ψB=8~14。最小齒寬應由允許的齒根應力來確定,還要考慮由軸間傾角引起的著力點沿齒寬位移所需的寬度。
5.3 齒輪參數的優化
齒輪參數的優化是一個多目標的問題,一方面希望有最小的結構尺寸,另一方面希望有足夠的強度及最佳的嚙合特性。由于鼓形齒聯軸器標準中已規定了外部尺寸,故本問題優化的關鍵是在一定的結構尺寸下確定內部齒輪參數的優化值,使其具有最佳的承載能力和最長的工作壽命。鼓形齒聯軸器的失效形式,主要是外齒輪齒面磨損后輪齒折斷失效,因此,增加外齒輪齒厚,提高其齒根彎曲強度和減少齒面磨損是提高鼓形齒聯軸器承載能力和工作壽命的關鍵。
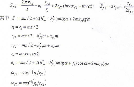
一般鼓形齒聯軸器的齒頂高系數ha1*=1,徑向間隙系數c1*=0.25,全齒高h=2.25m,采用標準齒輪,其內外齒輪分度圓齒厚大致相等。它的主要優點是內外齒輪加工工藝性好,可采用標準齒輪滾刀和插齒刀進行加工,且尺寸計算簡單。但是這種鼓形齒聯軸器的外齒輪齒根抗彎強度比內齒輪齒根抗彎強度要低,即內齒輪齒根彎曲強度有富余。因此,可設法增加外齒輪齒厚,提高外齒輪齒根彎曲強度。通常采用兩種方法:一是采用特殊刀具減簿內齒輪齒厚而增加外齒輪齒厚,使內外齒輪的抗彎強度接近一致;另一種方法是采用變位短厚齒型內外齒輪,降低外齒輪齒高,加大外齒輪齒厚,使其粗短,以提高外齒輪的抗彎強度[75]。前一種方法需采用專用的瘦齒型滾刀,這給加工帶來不少麻煩,因此在國內不宜推廣。文獻[75]所出了一種變位短厚齒型鼓形齒聯軸器的設計制造方法,由于是采用標準滾刀和插齒刀進行加工,加工方法簡單易行,因此工藝性好,生產效率高,是一種較理想的適宜推廣應用的設計加工方法。但是,該文提出采用齒頂高系數ha1*=0.8不一定合理,因為齒頂高系數的確定一方面要使內外齒輪齒根彎曲強度一致,另一方面又要使內外齒輪齒面具有足夠的接觸強度及內齒輪齒頂厚應大于0.25m。因此必須建立優化數學模型進行計算來確定。將內外齒輪輪齒簡化成懸臂梁受力(如圖5-3所示)[127],本問題是要使內外齒輪齒根有接近的齒根彎曲強度,則目標函數為
min(σF1-σF2)2
式中 σF1——外齒輪齒根彎曲應力
σF2——內齒輪齒根彎曲應力

設齒形角α=20°,頂隙系數c1*=0.25,模數齒數為給定值,根據這種短厚齒的加工原理是減少滾刀的切入量,使其齒高系數減小,這也相當于使用齒厚減簿的滾刀來滾切鼓形外齒輪,即相當于采用了切向變位加大齒厚。其切向變位系數xτ1與齒高系數的關系為xτ1=2(hao*-hf1*)tgα,式中hao*為滾刀的齒頂高系數,通常hao*=1.25,hf1*為被切外齒輪齒根高系數,hf1*=ha1*+c1*。為了滿足聯軸器軸間傾角的要求,除外齒輪有一定的鼓度外,內外齒之間還應有一定的齒間側隙jn,此側隙可按一定的原則分配到內外齒輪齒厚上,使它們有相應的減簿量。考慮加工的因素及總的要求是減簿內齒輪齒厚、增大外齒齒厚,因此將jn全部分配在內齒輪上,則內齒輪切向變位系數
xτ2=2(hao*-hf1*)tgα+jn/cosα;jn采用以下公式計算[120]
jn=2(rg/tgα-mz/2)(1-cosθ)cosα
式中 rg——鼓度圓弧半徑
對于z≥2(ha*+c*)/(1-cosα)的外齒輪齒根圓弦齒厚
f1可近似用下式計算[121]

內齒輪齒根圓弦齒厚
f2可近似用下式計算

對齒式聯軸器,取hf2*=ha1*、xr2=xr1。
設外齒輪齒寬為B,則內齒輪齒寬為1.2B,因此有

式中B、m、Fn、Fn′、α為常數,因此目標函數可寫成

約束條件為Sa2≥0.25m,式中Sa2為內齒輪齒頂圓齒厚,即有

由目標函數(5-3-1)式及約束條件(5-3-2)式便構成本問題的優化數學模型。通過對優化數學模型的求解,可以計算出不同齒模數及相應的鼓度半徑下的優化齒頂高系數值。表5-2給出了幾種不同輸入參數下的求解值,從表中數據可以看出,不同齒數及鼓度半徑,其優化齒頂高系數不同,但都不超過0.7。考慮到齒頂高系數的統一,建議采用齒頂高系數為0.7是適宜的。值得指出的是,這種齒頂高系數的齒輪是采用標準齒頂高系數滾刀和插齒刀用特殊方法進行加工的。
表5-2 優化齒頂高系數值(α=20° m=3mm)
| 鼓形齒參數(θ=1.5°) |
齒頂高系數 |
鼓形齒參數(θ=2.0°) |
齒頂高系數 |
| 齒數z |
鼓度半徑rg(mm) |
ha* |
齒數z |
鼓度半徑rg(mm) |
ha* |
| 40 |
94.073 |
0.5874 |
40 |
70.561 |
0.5997 |
| 48 |
112.888 |
0.6247 |
48 |
84.673 |
0.6398 |
| 56 |
131.702 |
0.6555 |
56 |
98.786 |
0.6736 |

鼓形齒聯軸器的齒數模數決定了其徑向結構尺寸大小。對于優化鼓度曲線的鼓形齒聯軸器,其嚙合特性與共軛齒面鼓形齒聯軸器相近,因此我們可以依據共軛齒面鼓形齒聯軸器特性來考慮齒數模數的參數優化問題。圖5-4給出了相同齒輪分度圓直徑和齒寬條件下取不同模數齒數時的重合度曲線,從曲線可以看出相同齒輪分度圓直徑和齒寬條件下,所取齒數越多,則重合度越大。重合度越大,平均每對齒承受的載荷越小,多齒嚙合過渡狀態載荷分配的變化量越小,傳動越平穩。因此總的模數齒數的選取原則是盡可能選大的齒數。但是相同齒輪分度圓直徑條件下,齒數越大,模數越小。模數的減小將降低齒根彎曲強度;另外,由齒面接觸線形態知,模數的減小也將降低齒面接觸強度。為保證有足夠的齒根彎曲強度和齒面接觸強度,應由所傳遞的轉矩和許用應力值,先計算出所允許的最小模數,再根據這個模數值及分度圓直徑來確定齒數。由于使用中磨損是不可避免的,因此,選取模數時還應考慮輪齒齒厚有一定的裕量,保證在一定的磨損程度下仍有足夠的強度。另外,模數的選取還應考慮工藝條件的許可。這些內容包含較多的經驗成份,在此不予詳細討論。
鼓形齒聯軸器的參數優化設計是以深入的嚙合特性機理分析為基礎的,它必將為新型長壽命鼓形齒聯軸器的設計提供重要的理論依據。
上一頁
下一頁