三環減速器的振動及其實驗研究
6.1引言
實際運用已經表明,SHQ40型三環減速器存在著比較嚴重的振動、并伴隨溫升、沖擊等問題。在中高速、重載下更為突出,己成為該產品能否大規模生產及推廣應用的嚴重障礙。本章提出三環減速器振動參數的理論計算,并對SHQ40型的振動進行分析。用理論及實驗進行對比研究,驗證本文提出的內齒行星傳動理論的正確性。并為降低三環減速器振動沖擊提出一些可以實施的方案。通過理論計算,這些方案的效果均顯著。對進一步改進設計三環減速器,控制振動具有重要的指導意義。
6.2三環減速器的振動參數
三環減速器是由三套(三相)雙曲柄連桿齒輪機構并列構成的相互約束的閉環機構。因此,各齒板(連桿)及偏心套莊轉動過程中,將產生水平和垂直方向的交變質性力。該慣性力通過各軸及軸承轉化為箱體軸承載荷傳遞給箱體,使其在垂直于齒板平面的兩個坐標面內產生不平衡的交變力偶矩,從而使減速器產生振動。當機構存在變形或誤差時,減速器的輸入機構變成曲柄搖桿機構。此時,一套子機構過死點時,將由另兩套子機構,強行推動其越過曲柄搖桿機構的死點位置,這勢必造成死點位置的載荷沖擊。該沖擊載荷也將引起箱體的強烈振動。因此,三環減速器的振動是由機構的交變慣性力和過死點時產生的沖擊載荷引起的。下面用振動速度、振動加速度等參數來描述三環減速器的振動問題。
6.2.1齒板的振動速度和振動加速度
無論是慣性力還是死點沖擊力,都將使構件產生變形,使其質心產生位移。因此,可以用齒板質心位移對時間的導數一速度、加速度來描述齒板的振動或沖擊。
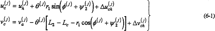
齒板簡圖如圖6-1所示。以齒板支承軸孔與偏心套的接觸點為參考點,則齒板質心的位移為



以上各式中的F(j)2x,F(j)2y及θ(j),ψ(j)2等通過求解三環減速器的動力分析方程得到。
6.2.2箱體軸承座的振動速度、振動加速度
三環減速器內部機構運轉時產生的動載荷及沖擊載荷均通過各軸傳遞給箱體軸承,產生軸承載荷,作用于箱體軸承座,使箱體產生振動。因此,可以用箱體軸承座處理的軸中心的振動速度、加速度來描述軸承座處的振動。

式中Khi是箱體軸承剛度;
H(k)ix,H(k)iy支承各軸的軸承載荷是轉角φ=ωt函數。
6.2.3傳動軸的沖擊角速度及沖擊角加速度
理想情下(機構無變形、無誤差等),三環減速器的各傳動軸之間無角速度沖擊產生各軸之間相對角速度、角加速度為零,即

式中△ω12,△ε12是高速輸入軸與高速支承軸之間的沖擊速度及沖擊角加速度;
△ω0i,△ε0i是輸出軸與高速軸之間的沖擊角速度及沖擊角加速度;
ωi(i=1,2)是高速輸入軸或支承軸的角速度;
εi(i=1,2)是高速輸入軸或支承軸的角加速度;
ω0,ε0是輸出軸的角速度及角加速度。
I是三環減速器的傳動比。
由于減速器機構的變形及各構件的誤差,使各傳動軸的角速度及角加速度不再滿足條件式(6-8)及式(6-9),亦在運轉過程中各軸之間存在角速度及角加速度的沖擊現象。該沖擊將直接導致系統振動,使輸出速度產生波動、降低其輸出的穩定性,并產生沖擊載荷。
設在某t時刻,各軸所轉的角位移分別產φ1,φ2,φ0。如圖6-2所示,則各軸的角速度為



6.2.4轉速、傳動比及轉矩的波動
軸間的沖擊將引起輸出的轉速波動,并使三環減速器的傳動比不再為恒定值。若輸入軸的轉速為n,則輸出軸的轉速可表示為


6.3SHQ40型三環減速器的振動分析
根據上一節導出的三環減速器的振動參數計算公式,可以對有誤差和無誤差時的三環減速器的振動參數進行計算。
6.3.1無誤差時的沖擊振動分析
在不考慮三環減速器機構運動副間隙、齒形誤差,以及分度誤差時,中間齒板的振動速度、加速度見圖6-3所示。由圖可看出:
1.無論振動速度還是振動加速度,沿水平方向的幅值均比鉛垂方向的大,這一點與實測結果相吻合。
2.在齒板的振動時域曲線中存在其平動運動的穩態分量,在機構的兩個死點位置即t=0.03S,0.06S附近出現兩次幅值不等的速度及加速度沖擊,說明三環減速器齒板的振動主要是由于雙曲柄機構變成曲柄搖桿機構,在強行過“死點”時產生的載荷沖擊引起的。
3.死點水平方向的沖擊速度及加速度最大值為
vmax=15.69 mm/s
αmax=23539 mm/s
圖6-4是支承軸軸承座及輸出軸軸承座的振動速度及振動加速度時域圖。圖(c)中,一個周期內的三根較長的沖擊棒線分別是三相機構因死點引起的嚙合沖擊。軸承座的振動速度比齒板的振動速度小,但振動加速度比齒板振動加速芳略大,最大值為

vmax=13.511 mm/s
αmax=24689.375 mm/s
輸出軸軸顧座的振動速度及加速度都比支承軸或輸入軸軸承座的小10倍左右,其最大值為
vmax=1.2 mm/s
αmax=2058.999 mm/s
由此可見三環減速器產生振動主要是由于高速軸沖擊動載荷作用箱體軸承而引起的。

圖6-5是輸入軸與輸出軸之間產生的角速度及角加速度沖擊的時域曲線。從圖可以看出兩軸在機構死點位置,振動的沖擊速度及沖擊加速度均很大。
由以上分析說明了SHQ40型三環減速器在無誤差時,產生振動的根源來自兩方面:
1.由于各齒板作平動轉動時因慣性力產生的穩態振動;
2.因雙曲柄機構變形為搖桿機構后,強行通過死點而產生的死點沖擊載荷引起的沖擊振動。
在以上兩點中,前者機構性質決定了的,是固有的。后者所占在重比前者大幾倍甚至上十倍。因此,控制三環減速器的振動只有從后者入手。
6.3.2有誤差時的沖擊振動分析
當三環減速器各構件存在誤差或運動副有較大的間隙時,產生的死點沖擊振動更加大。

圖6-6是輸入軸上靠近輸入端的偏心套旋轉0.5°(分度誤差)時,理論計算出的齒板振動及軸承座的速度及振動加速度。從圖看出,沖擊發生在過0°的死點位置,其幅值比無誤差時的沖擊值大10倍左右。


圖6-7是某相雙曲柄機構在輸入端具有0.03mm間隙時,齒板及軸承座的振動速度、振動加速度。圖中表明,速度、加速度都在兩個死點位置出現較大的沖擊值。
由上述分析可知,誤差引起減速器的死點沖擊振動,比無誤差時大許多倍,而有在水平方向明顯大于垂直方向的。因此,在加工時,要盡可能減小誤差、降低振動。
6.4SHQ40型三環減速器的振動實驗
為了驗證用本文提出的理論計算結果的正確性,我們對SHQ40型三環減速器做了振動測試實驗。
6.4.1實驗系統的配置
實驗在重慶大學機械傳動國家重點實驗室電功率封閉式齒輪試驗臺上進行的,實驗系統總配置如圖6-8所示。

實驗時,通過控制臺操縱,交直流機組1發出直流電壓設直流測功機1按恒定轉速帶動整個傳動系統運轉。SHQ-2及汽車變速箱將被測試件SHQ-1輸出的轉速升高后驅動直流測功機2發出直流電流,該電流經交直流機組2逆變為工頻交流電返回電網,完成整個電功率封閉傳動鏈。控制參通過控制交直流機組電壓、電流、改變傳動系統的轉速轉矩大小。被測信號由加速度傳感器提取,經由電荷放大器放大后,進入磁帶記錄儀及CF-355頻譜分析儀進行分析計算。電功率流封齒輪傳動實驗臺如圖6-9所示。

6-9 電動率流封閉齒輪傳動實驗臺
6.4.2多于SHQ40的測點布置
被測對象是用于起重行業的單級三環減速器。布置型式為110型,二高速軸位于低速軸同側,轉動中心共線。實物如圖6-10所示。其主要參數為

圖6-10SHQ40型三環減速器
傳動比:i=16
額定轉速:n=750rpm
額定功率:N=10KW
齒輪參數:Z1=48、Z2=51、e=6.392、m=4、B=30mm
軸間距:L1=190mm、L2=210mm
中心距:L=400mm
其他:S=55,d=34mm
上一頁
下一頁