|
5.4.3計算實例
根據據第三章所設計的減速器及本章建立的故障樹對減速器進行可靠性的計算機仿真研究。其各基本元件壽命分布參數見表5-2,采用上述算法編程求解。
通掃故障樹2000次,產生減速器壽命抽樣值2000個,設系統最大工作時間Tmax為1000h,考察減速器在工作8760h的可靠度。將Tmax分為1000個區間,統計減速器壽命抽樣落入各區間的次數,得到減速器可靠度的仿真值與工作時間的關系曲線如圖5-3所示。由式(5-13)~(5-20)求得減速器的其他可靠性指標如表5-3和表5-4所示。
表5-2基本元件失效分布類型及參數

注:基本元件17~22的分布參數與元件11~16的相同
根據圖5-3和表5-3可知,減速器工作876Oh的可靠度為0.982,完全滿足0.967的設計要求,仿真結果的絕對誤差為0.467%。系統平均壽命,即減速器平均無故障工作時間MTBF為9874.9h。從表5-4可知,基本元件1~10的重要度W(Zi)值均為1.0,這與或門的邏輯關系相一致,說明這些部件具有相同的重要性。從模式重要度WN(Zi)可以看出,活齒架的模式重要度WN(Z16)和WN(Z22)遠遠大于其它元件,顯然是系統的最薄弱環節,它的可靠性對減速器的壽命影響最大,所以提高活齒架的可靠性是改善滾柱活齒減速器可靠性的關鍵。
5.5 系統故障樹的模糊化分析方法
由于現實環境中存在著大量“亦此亦彼”的模糊現象,而傳統的故障樹分析方法不能反映基本事件非穩態和各態歷經的特點,為了使故障樹分析的結果能更準確、更深刻地反映滾柱活齒減速器的可靠性問題,本節將模糊數學引入滾柱活齒減速器的可靠性分析中,采用模糊數的運算法則以及針對故障樹各“門”的邏輯運算的模糊算子AND和OR求解系統可靠性的模糊數值。

表5-3減速器可靠性仿真結果
| 減速器可靠度 |
減速器平均壽命
(h) |
減速器壽命的方差
(h2) |
減速器不可靠度估值 |
仿真的誤差估計 |
| 0.982 |
9.8749×103 |
8.1603×105 |
0.018 |
0.467% |
表5-4基本元件重要度和模式重要度
| 部件代號 |
W(Zi) |
WN(Zi) |
部件代號 |
W(Zi) |
WN(Zi) |
| 1 |
1.0 |
0.012 |
12 |
0.133 |
0.002 |
| 2 |
1.0 |
0.015 |
13 |
0.111 |
0.001 |
| 3 |
1.0 |
0.005 |
14 |
0.103 |
0.012 |
| 4 |
1.0 |
0.004 |
15 |
0.071 |
0.001 |
| 5 |
1.0 |
0.008 |
16 |
0.143 |
0.374 |
| 6 |
1.0 |
0.005 |
17 |
0.093 |
0.002 |
| 7 |
1.0 |
0.004 |
18 |
0.201 |
0.005 |
| 8 |
1.0 |
0.115 |
19 |
0.087 |
0.003 |
| 9 |
1.0 |
0.013 |
20 |
0.167 |
0.001 |
| 10 |
1.0 |
0.001 |
21 |
0.087 |
0.005 |
| 11 |
0.091 |
0.002 |
22 |
0.941 |
0.406 |
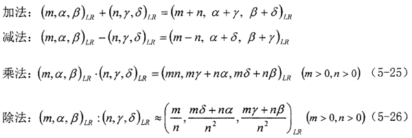
5.5.1模糊數的運算法則
采用模糊數來描述事件發生手概率,既能減少獲取事件發生概率精確值的難度,同時雙能結合工程中的實際經驗和判斷構造模數的隸屬函數,較準確地把它們描述出來,并能在一定程度上容忍描棕的誤差,因此該方法有較大的靈活性和適應性。
定義1模糊數為論域R上的連續模糊集,其凸隸屬函數滿足
maxμ(x)=1 x∈R
由定義1可知,模糊數的隸屬函數可以有多種形式,其最大值不能超過1。
定義2若函數L滿足
(1)L(x)=L(-x)
(2)L(0)=1
(3)L(x)在[0,∞]上非增且逐段連續
則稱函數L為模糊數的參照函數。
定義3設L、R為模糊數的參照函數,則稱模糊數為L-R型模糊數,若


線性型參照函數在“完全屬于”和“完全不屬于”之間的中介狀態是線性變化的(見圖5-3a),當x≤m-α和x≥m+β時,μ=0,說明在(m-α, m+β)區間之外的數值完全不屬于該模數數,而其他類型的隸屬函數曲線兩端延伸到無窮遠(圖5-3b,c),說明整流器個數軸上的任何數總在一定程度上隸屬于該模數數。在選擇參照函數時,除非有絕對的擾握認為該事件發生的概率在某個范圍之間而選擇線性參照函數,否則,以選取正態型或尖型為好。

模糊數的代數運算法則如下:

式(5-25)、(5-26)是近似的,嚴格地說,兩個L-R型模糊數相乘或相除,其結果不再是L-R型模糊數。
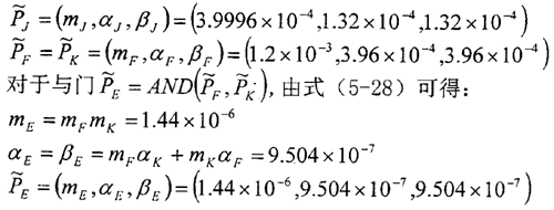
5.5.2模糊算子AND和OR
模糊算子AND和OR反映了“與門”和“或門”的模糊邏輯計算。對于“與門”,其模糊算子為;


5.5.3減速器的模糊故障樹分析方法
在建立的滾柱活齒減速器故障樹中,用模糊算子AND和OR描述其本事件之間的邏輯關系。生成真值函數的模糊形式及采用模糊算子表達的形式見表5-4。根據模糊數據的運算法則式(5-25)、(5-26)和模糊算子AND和OR的計算方法式(5-28)、(5-30)即可確定頂事件發生的模糊概率。

5.5.4計算和分析實例
以第三章設計的減速器為例,采用上述方法進行具體計算。假定 的參照函數為正態對稱型且與均值mi相差±50%的點x的隸屬度為0.1,則其中各基本事件故障概率的均值mi及計算得到的分布αi和βi如表5-5所示。

表5-5基本事件的均值mi用分布αi和βi
| 符號 |
基本事件 |
均值mi |
分布αi和βi |
符號 |
基本事件 |
均值mi |
分布αi和βi |
| X1 |
軸承1失效 |
1×10-4 |
3.29×10-5 |
X9 |
電源開關失效 |
1×10-4 |
3.29×10-5 |
| X2 |
軸承2失效 |
1×10-4 |
3.29×10-5 |
X10 |
系統保險絲燒斷 |
5×10-4 |
1.65×10-4 |
| X3 |
軸承3失效 |
1×10-4 |
3.29×10-5 |
X11 |
活齒磨損失效 |
2×10-4 |
6.59×10-5 |
| X4 |
軸承4失效 |
1×10-4 |
3.29×10-5 |
X12 |
波發生器磨損失效 |
2×10-4 |
6.59×10-5 |
| X5 |
軸承5失效 |
1×10-4 |
3.29×10-5 |
X13 |
活齒磨損失效 |
2×10-4 |
6.59×10-5 |
| X6 |
軸Ⅰ斷裂 |
2×10-5 |
6.59×10-5 |
X14 |
中心輪磨損失效 |
2×10-4 |
6.59×10-5 |
| X7 |
軸Ⅱ斷裂 |
2×10-5 |
6.59×10-5 |
X15 |
活齒磨損失效 |
2×10-4 |
6.59×10-5 |
| X8 |
電源未開 |
1×10-5 |
3.29×10-5 |
X16 |
保持架磨損失效 |
2×10-4 |
6.59×10-5 |

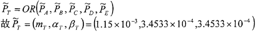
對頂事件T有

它表示與滾柱活齒減速器輸出軸不旋轉故障概率均值1.15×10-3相差±50%的點的隸屬函數為0.1,分布α=β=3.4533×10-4。 的隸屬函數曲線如圖5-4所示。

也就是說,在實際情況下,考慮到設計、加工及使用中的各種模糊因素,該減速器的可靠度相對于集合A={R|0.982≤R≤0.994}的隸屬度為0.9,而設計要求減速器的可靠度R=0.964,所以該減速器完全可以滿足實際工況對減速器的可靠性要求。
5.6 本章小結
1.綜合考慮作為串聯系統的電動潛油螺桿泵采油系統的可靠性,根據可靠性理論,對采油系統可靠度進行了分配;
2.在分析滾柱活齒減速器組成結構及各種失效可能的基礎上,建立了以“輸出軸不旋轉”為頂事件的減速器故障樹。通過定性分析,找出了減速器的全部最小割集,即導致頂事件發生的所有可能方式。給出了減速器中間事件和頂事件的真值函數計算公式;
3.為模擬真實工況下減速器的可靠性情況,在建立的故障樹基礎上,采用Monte-Carlo 方法隨機生成基本事件的故障概率,對減速器進行可靠性數字仿真。通過分析仿真結果,得到各零件的重要度和模式重要度,為改進系統指明了方向;
4.將模糊數學引入滾柱齒減速器的故障樹分析中。給出了通過模糊數的運算來表示模糊算子AND和OR的公式,進而得到了頂事件的模糊概率的計算公式。給出了基本事件模糊概率 的參照函數為正誠對稱型時的計算實例。
上一頁
下一頁
|