4.2.5三環減速機多齒嚙合的研究
三環減速機的內齒環板和外齒輪構成內嚙合齒輪副,是三環傳動的核心所莊。對于齒數差較多的內齒輪副,其重合度有足夠大的數值。而對于齒數差很小的內齒輪副,由于采用了短齒或超短齒以及較大的嚙合角,因此其重合度急劇下降。無論是以傳遞動力為主要目的,還是以傳遞運動為主要目的,為了保待齒輪傳動的連續性,理論上重合度應大于1。在少齒差內齒輪副中,由于相鄰的若干對輪齒之間的齒廓間距十分靠近,在運轉時因變形而成為多對齒接觸,提高了少齒差傳動的承載能力。
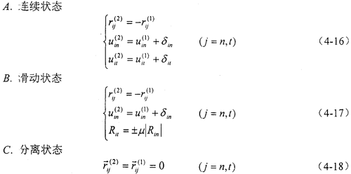
對于由主動輪和從動輪組成的齒輪副除滿足彈性力學的一般方程外,在齒面嚙合點法向上滿足位移非嵌入條件,在切向方向滿足庫侖摩擦定律。只要主動輪輸入轉矩一定,根據輪齒嚙合面的接觸狀態,其嚙合面可以分為三種邊界狀態。對于由主動輪和從動輪組成的接觸問題,可將其分成兩個獨立的物體,對主動輪和從動輪分別建立在整體坐標系下的有限元基本方程:
[KI]{UI}={PI}+{RI} (4-14)
[KⅡ]{UⅡ}={PⅡ}+{RⅡ} (4-15)
式中 [KI],[KⅡ]——主動輪、從動輪的剛度矩陣;
{UI},{UⅡ}——主動輪、從動輪的節點位移向量;
{PI},{PⅡ}——作用于主動輪、從動輪的外載荷向量;
{RI},{RⅡ}——接觸力向量。
用rij和uij分別表示輪齒在第i個接觸點局問坐標系j(j=n,t)方向上的接觸力分量和位移分量,局部坐標系如圖4-12所示,上標(1)、(2)分別表示主動內齒輪和從動外齒輪,則


式中 μ——齒面摩擦系數;
δin——齒面接觸點i在法向方向的初始間隙;
δit——齒面接觸點i在切向方向的初始間隙。
由齒面不同接觸狀態及輪齒接觸問題的總剛度矩陣得到齒輪嚙合面的柔度矩陣方程為:
[fi]{ri(1)}={δi}-{△pi} (4-19)
式中[fi]——嚙合面接觸點的柔度矩陣;
{△pi}——外載荷產生的相對位移矢量;
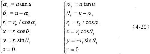
在I-DEAS軟件建模模塊中,已經給出一個變量u,它的缺省取值范圍為u∈(0,1),根據壓力角的實際取值范圍,可以將其設為u=tanαi,則輪齒漸開線的參數方程可以寫成:

式中 rb——齒輪基圓半徑;
上式參數方程則給出了兩支以點(rb,0)為基圓上起點的漸開線。實際上,我們希望得到上述參數方程所描述的兩支漸開線被齒根圓和齒頂圓所截得一部分。根據已確定的齒輪參數,經過齒根圓和齒頂圓截斷(Trim)、繞分度圓圓心旋轉(Rotate)和繞分度圓圓心陣列(Array),然后畫出中心圓,便得到齒輪的平面模型。經過拉伸深度為齒輪寬度的拉伸(Extrude),便得到齒輪的動態模型。表4-6所示為齒輪建模過程中的參數。
表4-6齒輪建模參數
| 類別 |
項目 |
| 分度圓直徑 |
分度圓弧齒厚 |
分度圓齒厚 所對中心角 |
分度圓上兩支漸開線 所對中心角 |
漸開線需旋 轉角度 |
| 變位外齒輪 |
147mm |
8.4073652mm |
6.55383° |
1.708561° |
4.13119° |
| 變位內齒輪 |
154mm |
1.913044mm |
1.423498° |
1.708564° |
0.142533° |
根據內、外齒輪嚙合時的幾何位置分別計算出各接觸齒對的初始間隙,各接觸齒對的初始間隙如表4-7所示。由三環減速機傳動可知,內齒輪為主動輪,外齒輪為從動輪,因此邊界條件處理為約束內齒輪副的徑向方向和約束外齒輪副周邊,載荷轉矩施加在內齒輪切線方向上。接觸齒對的有限元模型如圖4-13所示。根據內、外齒輪的結構,設置單元類型、大小及材料特性,輪齒嚙合屬于平面應力問題,選取四節點單元進行分析計算,四節點單元節點厚度取為相應的內、外齒輪厚度。由Meshing模塊共生成四邊形單元10503個,節點11066個,運用I-DEAS軟件,根據前述的誤差分析,采用間隙單元法,建立約束集和解集,運用Model Soltion模塊求得結果。
表4-7 內外輪齒齒廓間的最小間隙 (mm)
| 齒對號 |
5-5 |
4-4 |
3-3 |
2-2 |
1-1 |
2′-2′ |
3′-3′ |
4′-4′ |
5′-5′ |
| 間隙 |
0.042 |
0.021 |
0.015 |
0.008 |
0 |
0.008 |
0.015 |
0.021 |
0.042 |
經過間隙單元法迭代計算,得到嚙合過程中,由于輪齒的變形而形成了多齒接觸。圖4-14所示為由于輪齒的變形,形成了5個齒的接觸,以及載荷在輪齒之間的分配比例。當有5個齒參與嚙合時,最大主應力為73MPa;假定內、外齒輪的1號齒在齒面上b點相互接觸,圖4-15所示為輪齒接觸時,外齒輪上載荷最大的輪齒1號面的齒面載荷分布情況:圖4-16所示為輪齒接觸時,內齒輪上載荷最大的輪齒1號面的齒面載荷分布情況。


4.2.6三環減速機強度的校核
三環減速機二級傳動屬于少齒差傳動,少齒差傳動輪齒工作面上的接觸強度不是其在承載能力上的薄弱環節,尤其是輪齒工作表面上的疲勞點蝕破壞未見發生過。一般不進行其齒面接觸強度校核,而只進行其齒根彎曲強度校核。因為少齒差傳動的g-b齒輪副為內嚙合齒廓的相互接觸,其齒廓曲率中心位于同一方向,而且兩曲率半徑ρ1和ρ2的值較為接近。因此,其輪齒承載后所產生區接觸應力較小。
對于本文提出的三環減速機來說,它的傳動參數如表4-8所示:
表4-8三環減速機的傳動參數
| 一級傳動比i1 |
二級傳動比i2 |
總傳動比i=i1·i2 |
輸入轉速n |
輸出扭矩T |
| 35/23 |
21 |
735/23 |
1440r/min |
875N·m |
本文中的三環減速機的第二級傳動參數如表4-9所示:
表4-9 第二級傳動參數
| 內齒輪齒數Z2 |
外齒輪齒數Z1 |
模數mn |
嚙合角α′ |
齒形角α |
| 44 |
42 |
3.5mm |
37.356° |
20° |
由于三環傳動同時嚙合的齒數多,由前述的分析可知,在傳動中共有五個齒參與嚙合,因此至少可按兩齒均勻受力來校核齒根彎曲強度。因采用30°切線法求齒形系數,故這種計算方法是極其粗略的,在下面章節還將進行比較精確的有限元分析。
對于本文的三環減速機,假定載荷分布均勻,本章只校核一塊兩側環板和外齒輪的齒根彎曲強度。每一塊兩側環板承受扭矩1/4T,環板寬度b=19mm,外齒輪承受扭矩T,齒寬b=86mm。則計算齒根彎曲應力為:

式中 各系數的意義參見機械工程手冊。
根據本文的三環減速機的實際應用情況和結構,環板和外齒輪的材料皆是45號鋼調質處量,可取σFlim=290N/mm2選取各項系數代入上式,求得彎曲強度如表4-10所示。
表4-10 環板和外齒輪的輪齒彎曲強度 (MPa)
外齒輪許用應力
σFP1 |
環板輪齒許用應力
σFP2 |
外齒輪計算應力
σF1 |
環板輪齒計算應力
σF2 |
| 424.6 |
437.3 |
183.8 |
204 |
取最小安全系數SFlin=1.5,由計算結果可知,σFP≥σF,所以,環板內齒輪、外齒輪均滿足齒根彎曲強度要求。
三環減速機的一級傳動是漸開線圓柱齒輪傳動,第一級的承載能力取決于接觸強度。三環減速機的第一級傳動參數如表4-11所示。
表4-11 第一級傳動參數
| 輸入齒輪齒數Z3 |
輸入齒輪齒寬b3 |
輸入齒輪齒數Z4 |
輸出齒輪齒寬b4 |
模數m |
齒形角α |
| 46 |
25mm |
70 |
20mm |
2.5mm |
20° |
校核接觸應力,計算接觸應力為:

式中各系數的意義參見機械工程手冊。
根據本文的三環減速機的實際應用情況和結構,一級傳動齒輪的材料皆是45號鋼調質處理,可取σHlim=690N/mm2,選取各項系數代入上式,求得接觸強度如下:
σH=319.74N/mm2
σHP=548N/mm2
取最小安全系數SHlim=1.5,由計算結果可知,σHP≥σH,所以,一級傳動滿足接觸強度要求。
4.2.7三環減速機的參數設計
影響三環減速機傳動綜合性能的參數很多,其中有傳動的中心距2L、一級定軸傳動大、小齒輪參數(模數、齒數、寬度等)、二級少齒差傳動齒輪參數(模數、齒數、寬度、變位系數、重合度等)、均載機構參數(均載環形式、結構等)等。三環減速機幾何尺寸及各零部件相對位置如圖4-17所示。
確定三環減速機傳動的參數時,主要考慮了以下幾個方面:
1.在傳動性能指標(輸出扭矩、傳動比、幾何尺寸等)上,與重慶專用機械制造公司生產的三齒環減速機SCH145一致,這樣可以在同等程度上,比較它們的性能優劣;
2.滿足作為行星傳動的傳力條件、裝配條件等;
3.一級定軸傳動和二級少齒差傳動盡可能等強度設計,在保證低速級一二級傳動強度的基礎上,確定一級傳動的參數;
4.選擇合理的均載環形式、結構,使均載環具有適宜的剛度、足夠的強度;
5.在滿足給定的傳動功率條件下,使三環減速機具有較小的體積和重量;
6.合理選擇各個零部件的結構,使加工制造易于實現;
根據上述原則,對三環減速機進行了設計,其參數如表4-12所示。

表4-12 三環減速機基本參數表
| 名稱 |
特性 |
| 中心距2L |
290mm |
| 一級傳動小齒輪模數、齒數、寬度 |
2.5mm、46、25mm |
| 一級傳動大齒輪模數、齒數、寬度 |
2.5mm、70、20mm |
| 二級傳動輸出齒輪模數、齒數、寬度、變位系數 |
3.5mm、42、86mm、1.142 |
| 二級傳動兩側環板內齒輪模數、齒數、寬度、變位系數 |
3.5mm、44、19mm、1.407 |
| 二級傳動中間環板內齒輪模數、齒數、寬度、變位系數 |
3.5mm、44、38mm、1.407 |
| 二級傳動重合度 |
1.05 |
| 二級傳動嚙合角 |
37.356° |
| 均載方式 |
金屬彈性環均載 |
| 均載環形式 |
n=4m+4型金屬彈性環 |
4.2.8 三環減速機的結構設計
根據三環減速機傳動的基本參數以及這種傳動的傳遞的功率情況,進一步對三環減速機傳動進行結構設計。表4-13所示為三環減速機結構參數。
表4-13 三環減速機的結構參數表
| 名稱 |
特性 |
| 偏心套外圓直徑 |
ф45mm |
| 偏心套偏心距 |
4.18mm |
| 一級輸入軸軸承型號 |
左端NU204/P6,右端NU204/P6 |
| 偏心軸軸承型號 |
左端NU205/P5,右端NU205/P5 |
| 二級輸出軸軸承型號 |
左端6211,右端6211 |
| 環板軸承型號 |
NU209/P6 |
| 均載環結構 |
ф2mm,內、外圓周各均布八個凸臺 |
| 箱體結構 |
焊接、部分式 |
| 密封形式 |
骨架密封圈和O型密封圈密封 |
| 潤滑方式 |
油池潤滑 |
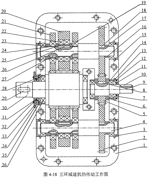
根據三環減速機的基本參數和結構參數,設計出三環減速機的傳動工作圖如圖4-18所示。

4.2.9三環減速機的效率計算
機械效率η反映了驅動力所作的功在機械中的利用程度,它表示為輸出功與輸入功的比值。

式中 Wr——輸出功;
Wd——輸入功;
Wf——損耗功。
本文研究的三環減速機是由一級定軸圓柱齒輪傳動和二級三環少齒差傳動組成,它的效率η由一級傳動效率和二級傳動效率串聯而成,即
η=η1η2 (4-26)
一級定軸輪系機械效率概略計算取η1=0.98。
二級少齒差傳動的機械效率η2有理論計算值和實測值兩種,而以實測值為評價依據。理論值不可能與實測值相同,但在設計時要進行理論計算。
對于少齒差行星傳動的總效率η2,可以認為主要由四部分串聯而成,即
η2=ηeηbηwηM (4-27)
式中 ηe——行星機構的嚙合效率;
ηb——轉臂軸承的效率;
ηw——輸出機構的效率;
ηM——液力損失的效率。
由上式可見,少齒差行星傳動的總效率是考慮到輪齒嚙合損失、軸承摩擦損失、輸出機構傳動損失和液力損失的效率。
三環減速機傳動是一種新型的三相并列少齒差行星傳動,沒有輸出機構,它的每一相傳動效率η2參考少齒差傳動計算如下:
η2=ηeηbηM (4-28)
1.行星機構的嚙合效率ηe
由嚙合功率法可以得到:

式中 ηH——轉化機構的嚙合效率。
三環傳動機構的轉化機構為定軸少齒差內齒輪副,對于本文研究的三環減速機,因α′>αa1,節點p在嚙合線B1B2外,故轉化機構的效率計算如下:

式中fg——嚙合過程中齒面的摩擦系數,一般取fg=0.06~0.10。
對于本文的三環減速機,各項數值代入上式得:ηe=0.968。
2.轉臂軸承的效率ηb

式中 TB——摩擦力矩;
TH——轉臂轉矩。
概略計算時可近似地取ηb=0.98~0.995。
3.液力損失的效率ηM

式中 P——傳遞的功率,kw;
vH——圓周速度,m/s;
b——浸入油中的齒輪的寬度,mm;
E°——在工作溫度下油的恩氏粘度,條件度;
Z∑——嚙合齒輪副齒數和。
選取上述參數,計算得ηM=0.95。
綜上所述,兩級三環減速機的總效率:
η=η1η2 =η1ηeηbηM=0.98×0.968×0.99×0.95==89.2%
4.2.10三環減速機的裝配條件
三環減速機與其它行星傳動裝置一樣,存在一個裝配條件的問題。裝配條件指的是將三個內齒環板均布地裝配在兩根高速輸入軸上,并使這三個內齒環板與輸出外齒輪嚙合時,保證嚙合的瞬時相位差為180°。
下面來分析它的裝配條件,由于本文提出的新型三環減速機環板相互之間的相位差為180°,所以在分析時,可以只分析兩塊環板的裝配情況。圖4-19所示為裝配條件分析圖,在兩塊環板的偏心所構成的π角內,外齒輪1的齒數為:

式中P′為節圓齒距。
在兩片內齒環板的偏心所構成的π角內,環板上的內齒輪2的齒數為:

φ2角所對應的節圓弧長為:



也就是說:當一個內齒環板與外齒輪在某一位置嚙合時,另一塊環板與外齒輪各自節圓之對滾弧長差為節圓齒距,相對相位差角為內齒輪一個齒所對應的圓心角,此時另一塊環板在該位置剛好能夠裝入。換句話說,對于本文的三環減速機,按照4.3的制造工藝,就可以將三片內齒環板均布地安裝在兩根高速偏心輸入軸上,并且保證它們之間的瞬時相位差呈180°角。
在裝配時,將中間環板繞其軸線旋轉180°并且翻轉,一則保證它們之間的相位差為180°,二則補償由于加工而引起的偏心誤差,進一步提高均載性能。
4.3本章小結
本章在三環減速機力學分析和均載機構研究的基礎上,對三環減速機的設計、制造和裝配的若干問題進行了深入的探討和研究
變位系數的確定是少齒差內嚙合傳動設計的關鍵。本章在分析少齒差內嚙合的兩個主要限制條件的基礎上,推導了用插齒刀加工的少齒差內嚙合變位系數的牛頓迭代公式,不僅滿足給定的重合度和齒廓不重迭干涉系數的要求,而且保證標準頂隙,迭代得到的嚙合角較小。
內齒環板和偏心套是三環減速機的關鍵傳動零部件,本章應用I-DEAS軟件對內齒環板和偏心套進行有限元分析,用來指導結構設計。
對三環減速機的少齒差內嚙合多齒嚙合問題進行了定量分析,得到嚙合齒對間載荷分布規律,對三環減速機的強度校核具有指導意義。
兩級三環減速機第一級傳動的承載能力取決于接觸強度,第二級傳動的承載能力取決于齒根彎曲強度。因此對第一級漸開線圓柱齒輪傳動進行接觸強度校核,對第二級少齒差傳動進行齒根彎曲強度校核。
內齒環板是三環減速機傳動的關鍵,本章深入討論內齒環板的加工制造。
本章對提出的相位差為180°的三環減速機的裝配條件作了分析和研究。
上一頁
下一頁