5 共軛鼓形齒聯軸器傳動嚙合特性分析
5.1 引言
前面研究了共軛曲面的數字化方法及其在數字齒面設計中的應用,為實現數字化設計與加工、特別是鼓形齒輪的數字化設計與加工一體化奠定了基礎。
本章研究鼓形齒輪在一新型傳動裝置中的應用---共軛鼓形齒聯軸器。主要討論共軛鼓形齒聯軸器鼓形齒輪齒面方程的建立,分析共軛鼓形齒聯軸器傳動的靜力學特性、動力學特性、接觸強度、彎曲強度與變形,研究該傳動的多齒嚙合狀態與性能。
5.2 共軛鼓形齒面方程的建立
要進行共軛齒面鼓形齒聯軸器的嚙合分析,必須首先創建共軛鼓形齒聯軸器內外齒輪齒面的幾何數學模型,也就是要建立內外齒輪齒面的方程。
對于共軛齒面鼓形齒聯軸器,直齒內齒輪齒面方程可直接給出,根據求解共軛齒面嚙合的運動學法,可求解出與直齒內齒相共軛的外齒齒面方程。
5.2.1 坐標系
坐標系如圖5-1所示。

S1(0,x1,y1,z1)坐標系,為與外齒輪固連的動坐標系;z1軸與外齒輪軸線重合。
S10(0,x10,y10,z10)坐標系,為過渡坐標系;z10與z1軸重合;x10與x1夾角φ1為某瞬時外齒輪轉角。當φ1=0時,S10系與S1坐標系重合。
S20(0,x20,y20,z20)坐標系,為靜坐標系;z20軸與軸z2重合;x20軸與x2軸夾角φ2為某瞬時內齒輪轉角,當φ2=0時,S20系與S2系重合。
四個坐標系有共同的原點O,x10與x20軸線重合,z10與z20軸線夾角為兩齒輪軸線的軸交角θ(y10與y20軸線的夾角亦為θ)。
5.2.2 坐標轉換關系

坐標的逆變換可由它們的逆矩陣導出。
5.2.3 內齒輪齒面方程
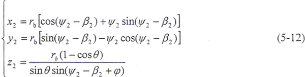
內齒輪輪齒為直齒,其端面齒形及坐標關系如圖5-2所示。設端面齒廓線為漸開線,xc2坐標通過漸開線在基圓上的起點,在(o,xc2,yc2,zc2)坐標下的齒面方程為


式中,φ2、t2——齒面參變量,rb——漸開線基圓半徑。設a2為齒面某一點k處的壓力角,則有φ2=tana2。
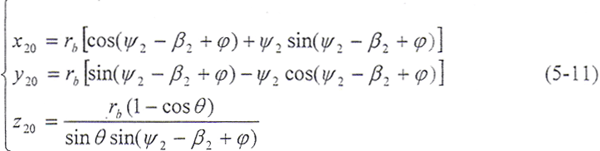
將(5-1)式轉換到S2坐標系上,得

將(5-2)式轉換到S20坐標系上,得

式中,β2——內齒輪基圓齒槽寬所對圓心角之半。

式中,α——分度圓壓力角
Z——齒輪齒數;
xr2——內齒徑向變位系數;
xτ2——內齒切向變位系數。
式(5-3)就是內齒輪齒面在S20坐標系中的齒面方程。
5.2.4 外齒輪齒面方程
根據求解共軛齒面的運動學法,外齒輪齒面方程為

式中,r1——外齒輪齒面方程;
r2——內齒輪齒面方程;
f(ψ2,t2,φ2)=0——嚙合方程,由N·v12=0推導而來:

其中,
c1=cosφ1;s1=sinφ1
c2=cosφ2;s2=sinφ2。
cs=cosθ;ss=sinθ
在(0,x2,y2,z2)坐標系上,內齒輪齒面法向矢量的三個坐標分量分別為

在(0,x2,y2,z2)坐標系,相對速度的三個坐標分量為

將(5-5)式、(5-6)式代入N·v12=0,得

將(5-2)式代入(5-7)式,經化簡得

式(5-8)即為嚙合方程。
在(0,x1,y1,z1)坐標系下的外齒輪齒面方程為

式中,φ1、φ2——內、外齒面的轉角。
令φ1=φ2=φ,將(5-2)式及由(5-8)式解出的t2代入(5-9)式,即可得到以ψ2、φ為參變量的外齒輪齒面方程:

為了嚙合分析方便,要給出在固定坐標系下的接觸線方程,即嚙合面方程。在S20坐標系下接觸線方程為

由f(ψ2,t2,φ2)=0,r2(ψ2,t2)還可給出內齒輪齒面上的接觸線方程:

5.3 共軛鼓形齒聯軸器傳動力學特性分析
5.3.1 鼓形齒聯軸器傳動靜力學分析
為了研究鼓形齒聯軸器的傳動特性,以便設計、加工和優化這種傳動裝置,必須知道該傳動件上傳動齒輪的工作載荷。傳動齒輪的工作載荷包括靜載和動載兩部分,所謂鼓形齒聯軸器傳動的靜力學分析,即暫不考慮傳動中的動載荷,僅按靜態情況對鼓形齒聯軸器傳動進行受力分析和研究。
根據鼓形齒聯軸器嚙合分析,在不考慮彈性變形的剛性情況下,我們認為,傳動齒輪沿接觸線上的法向載荷是均勻分布的,且傳動齒輪各接觸齒對受載相等;在考慮彈變形后,各接觸齒對上的瞬時載荷的大小和分布要發生變化,其變化情況與各接觸齒對在各瞬時的綜合剛度系數成正比。
由鼓形齒聯軸器多齒接觸試驗得知,當鼓形齒聯軸器在傳動過程中,各接觸齒對的綜合剛度系數Ci是由小變大,再由大變小,即在嚙合區兩端剛度系數最小,在嚙合區中段的綜合剛度系數為最大Cmax。因為此處只需要知道各嚙合齒對在某瞬時綜合剛度的相對大小,且綜合剛度系數的數值都是用實測方法求得的,鑒于實驗條件,為方便起見,設Cmax為單位1,并假定其他各對嚙合齒的剛度系數整體副近橢圓分布規律,即
Ci=Cmax[1-(0.2i)2](i=0,1,2,…) (5-13)
式中i為接觸齒對號,其各接觸齒對所對應的相對剛度系數如圖5-3所示。

在某瞬時,各嚙合齒對的綜合剛度系數之和即總體綜合剛度系數,即
CΣi=ΣCi
當不考慮齒輪基節和其他制造誤差時,剛度系數為Ci的那對齒所受的載荷

式(5-14)即為齒間載荷分配表達式,其中受載荷最大齒對的法向載荷

式中,Fn——總額定扭矩Mn的等效法向載荷,即

齒面上法向力Fnimax在x、y、z三個方向的分量大小分別為

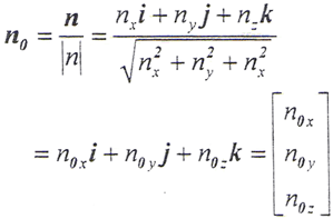
式中,n0——接觸齒面上的單位法線向量,即

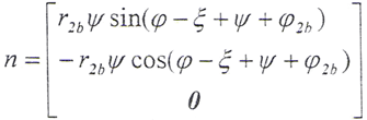
式中,n——齒面上任意點k的法線向量,即

式中,φ——齒輪相對靜參考系的轉角;
ξ——基圓齒槽寬所對圓心角之半;
ψ——齒廓上任意點k的展角θk與壓力角αk之和;
φ2b——第i對齒基圓上的點與靜參考系間所夾的圓心角。其接觸線上任意點k處的受力狀態如圖5-4所示。

5.3.2 鼓形齒聯軸器傳動動力學分析
鼓形齒聯軸器傳動裝置實際上是一個彈性動力學系統,它由鼓形外齒、漸開線內齒、軸和軸上其他零件組成,對這樣一個結構系統進行動力學分析是相當復雜和困難的。為了分析方便,可將彈性系統分為兩部分,一是輪系部分,二是軸系部分。由于輪系輪齒的剛度遠遠大于軸的剛度,所以,就可以把二者分開,即當分析軸的彈性變形所造成的齒輪扭轉振動時,可以認為齒是剛性的;而在分析由于齒的彈性變形引起的動載荷時,就可不考慮軸及其它零件的彈性載荷,認為傳入的轉距是常量。
5.3.2.1 鼓形齒聯軸器傳動的輪系固有頻率
一軸間傾角為θ的鼓形聯軸器,在傳遞載荷的過程中,一般有幾對齒處于接觸嚙合狀態,此時由動力學基本定理,有

式中,I1,I2——鼓形外齒輪1和漸開線內齒輪2的轉動慣量;
M1,M2——外、內齒輪單位齒寬上的扭矩;
Fn——純翻轉位置處嚙合齒對單位齒寬上的法向載荷;
rp1、rp2——純翻轉位置處外、內齒面上法向載荷等效集中力作用點P的徑向坐標。當鼓形齒聯軸器勻速轉動時,有

由(5-17)式,得

或

另一方面,當考慮輪齒彈性變形后,嚙合齒對因沿接觸線的剛度發生變化,沿接觸線壓力分布處于非均勻狀態,其分布規律為
Fnk=Ckδk (5-19)
式中,Ck——輪齒接觸線上點k處的剛度系數;
δk——輪齒接觸線上點k的綜合變形。在等效點P處,則有
Fnp=Cpδp (5-19a)
如果在t=0的瞬時,由于干擾載荷的作用,輪齒的變形量增大△δ,則齒上的載荷也獎增加△Fn,當轉矩M1、M2為定值時,由齒輪的平衡條件可知,齒輪的角速度ω將發生周期性變化,而載荷和變形也以同一頻率變化。由(5-17)式和(5-18)式,得

式中,
△Fn=Cp△δ (5-21)
由彈性嚙合原理可得,兩相嚙合的彈性齒輪連續嚙合運動的條件,即兩齒靠近的速度要等于它們變形增加的速度。根據兩嚙合彈性齒輪連續運動的條件,有

對上式兩邊微分,并利用(5-20)式、(5-21)式,可得鼓形齒輪聯軸器傳動的自振微分方程為

即
△δ+β2△δ=0 (5-23a)
式中,

式(5-23)是一個二階線性齊次微分方程,其一般解為
△δ(t)=Bcos(βt)+Csin(βt) (5-25)
式中,B、c——積分常數,可由p點的初始條件確定。
設在初始時刻t=0時,△δ(0)=△δ0(初位移),△
(0)=v0(初速度),則由(5-25)式,可求出
。于是,動位移的表達式可寫為

在上述分析中,可以用旋轉矢量來描述鼓形齒聯軸器的動位移情況。旋轉矢量的模為振幅A,角速度為角頻率β,如圖5-5所示。

若用復數來表示,則
z=Aexp[j(βt+φ)]=Acos(βt+φ)+jAsin(βt+φ) (5-26)
式中,
。復數z的實部和虛部可分別表示為

此時,動位移△δ可表示為
△δ(t)=Im Aexp[j(βt+φ)] (5-28)
其變化的速度和加速度分別為

用復指數形式描述這種諧振動,給運算帶來很大方便。因為復指數exp(jβt)對時間t求導一次,相當于在其前面乘以jβ,而每乘一次j,就相當于增加初位相角π/2。
輪系的固有頻率則為
f=fp=βp/(2π)=β/(2π)=(Cp/md)1/2/(2π) (5-31)
式中,md為輪系的當量質量。
以上對輪系即齒輪傳動的固有頻率進行了分析,實際上,齒輪傳動的固有頻率還受許多因素的影響,如齒輪本體的輪緣、軸、齒面間的油膜厚度以及支承條件等。此處討論系的固有頻率,忽略了這些因素的影響,因此,上述輪系固有頻率的計算公式具有一定的條件性,其主要目的是為了本問題討論的系統性,以作定性分析和概念闡述。共軛鼓形齒聯軸器傳動的振動誘因主要來源于軸系,軸系固有頻率的研究是共軛鼓形齒聯軸器振動問題的重要組成部分和最具實用價值的內容。
上一頁
下一頁