3.4 不對中時的運動及動態特性
實際上可以將不對中分為冷態不對中和熱態不對中兩種情況。其中冷態不對中主要是指在室溫下由于安裝誤差造成的對中不良;熱態不對中指聯軸器在運行過程中由于溫度等因素造成的不對中。其主要原因有:轉子各零部件受熱不均,使聯軸器產生熱膨脹變形和扭曲變形;發動機熱膨脹時由于表面的摩擦力及導向鍵磨損引起軸承座傾斜和側行;由于轉子的饒性和重量分配不均勻,轉子在安裝之后產生原始彎曲,進而影響對中情況。
3.4.1 不對中時的運動分析
(1)當轉子軸線存在軸向的位移時(如圖3.2),軸向位移只會產生附加的周向應力,而不會影響轉子的運動特性。所以這里不進行計算。

(2)當轉子軸線之間存在徑向位移時(如圖3.3所示),聯軸器的中間套齒與半聯軸器組成移動副,不能相對轉動,但是中間套齒與半聯軸器產生相對滑動而作平面圓周運動,即中間套齒的中心是沿著以徑向位移△y為直徑作圓周運動,如圖3.4所示。

設A為主動轉子的軸心投影,B為從動轉子的軸心投影,K為中心齒套的軸心,那么有AK丄BK,設AB長度為D,K點的坐標為K(x,y),取θ為自變量,如圖3.5所示。則有

則K的線速度為

由于中間套齒平面運動的角速度等于轉軸的角速度,即
=ω,所以K點繞圓周中心運動的速度為


由上式可知,K點的轉動為轉子轉動的角速度的兩倍,因此當轉子高速運動時,就會產生很大的離心力,激勵轉子產生徑向振動,其振動頻率為轉子工頻的兩倍。
(3)當轉子軸線之間存在偏角位移時(如圖3.6),從動轉子的角速度與主動轉子角速度是不同的,從動轉子的角速度為

式中 ω1,ω2——分別為主動轉子和從動轉子的角速度
α——從動轉子的偏斜角
ф1——主動轉子的轉角

當主動轉子的回轉角速度為常數時,從動轉子的角速度是偏角和主動轉子轉角的函數。當或ф1=00或1800時,ω2最大,當ф2=900獲2700時,ω2最小。其轉速比變化曲線如圖3.8所示,即有ω1cosa≤ω2≤

由此可知,當發動機或機組的轉子軸線發生偏角位移時,其傳動比不僅隨轉子每轉一周變動兩次,而且其變動的幅度雖偏角的增加而增大,因而從動轉子由于傳動比變化所產生的角加速度激勵轉子而發生振動,其徑向振動頻率也為轉子工頻的兩倍。
(4)實際旋轉機械的轉子聯軸器處既有平行不對中,又有偏角不對中,即為兩種情況的綜合,因而轉子發生徑向振動的頻譜特征是兩者綜合的結果,其徑向振動頻率為轉子工頻的兩倍。
3.4.2 不對中時的動態特性
由上面的運動分析可知,軸向不對中時對聯軸器的運動情況可以忽略。所以動態特性分析也只考慮平行不對中、偏角不對中以及平行偏角不對中三種情況。
聯軸器連接的兩轉子軸線之間發生不對中故障時具有平行位移或角度位移,在運動傳遞過程中,聯軸器中間齒套的運動必須同時滿足兩半聯軸器的需要,即中間齒套軸線作平面運動,且軸心線的回轉運動頻率與轉子的運行頻率不一致。當產生平行不對中、偏角不對中和平行偏角不對中三種情況時,聯軸器中間齒套的軸線回轉軌跡分別為圖下圖所示的圓柱體、雙錐體和半雙錐體。在這些圖中,O1,O2為兩半聯軸器的軸心,O,O′為聯軸器中間套齒的靜態和動態回轉中心,△y,△α分別為轉子系統的平行和偏角不對中量。

對于上面圖中所示的三種情況,任意回轉輪廓的截面圖為一周,如圖3.12所示,O′的運動軌跡可以描述為
X=△Esin(Ω′t-Ψ) (3-24)
式中 Ω——轉子的回轉角頻率
△E——當量不對中量,△E=
(平行不對中時);
△E=
(偏角不對中時)
Ψ——初始相位角,Ψ=2ф(平行不對中時);
Ψ=2ф(偏角不對中時左端);Ψ=2ф-
(偏角不對中時右端)
中間套齒對轉子系統施加的激振力為
Fx=4M△EΩ2sin(Ωt-ф),Fy=4M△EΩ2cos2(Ωt-ф) (3-24)

工作狀態下聯軸器的動態特性如圖3.13所示,兩半聯軸器的中心為O1和O2,聯軸器外殼的動態中心為O′,當系統以Ω轉動時,外殼重心的加速度在

其中△e=OO′為系統當量不對中量,在轉軸的彈性力的作用下,由質心運動定理:m
0=-kX,m
0-kY,考慮到外阻力的作用


現在對結果進行討論:
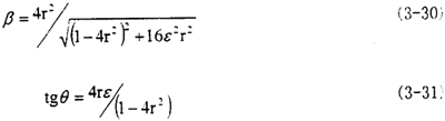
(1)當r趨近于O時,動力放大系數M趨近于O;θ趨近于O,這表明,系統在轉速較低時,其向應振幅較小,且有較小的相位角。
(2)當r=1/2時,系統發生共振,系統具有振幅最大值,該值的大小只與阻尼系數有關,與此同時,相位角為
。
(3)當r趨近于∞時,動力放大系數M趨近去1,這表明,系統在轉速較高時,其向應振幅趨于穩定。振幅并不隨激振力的迅速增加而加大,與此同時,相位角θ趨近于π,并逐漸保持穩定。
3.5 本章小結
本章通過引入聯軸器的剛度和阻尼,計算了彈性聯軸器在周期性載荷與沖擊載荷下的動力特性。在第四節中著重分析了平行不對中,偏角不對中以及平行偏角不對中的運動與動力特性。
從各種不對中的運動學和動力學分析可以得出如下結論:
(1)激勵力幅與不對中量成正比,隨不對中量的增加,激勵力幅則線性加大
(2)在不對中情況下,中間圓環的軸芯線相對于聯軸器的軸心線產生相對運動,其中,平行不對中的回轉輪廓為一圓柱體,偏角不對中時為一雙錐體,平行偏角不對中時為半雙錐體。回轉體的范圍由不對中量決定。
(3)聯軸器處于工作狀態時,無論是哪一種不對中形式,系統的響應在轉速達到臨界轉速的一半時發生共振,振幅具有最大值。同時,相位角為
。
(4)系統在轉速大于臨界轉速后,隨轉速的增加,其響應振幅趨于穩定,并不隨激勵力的迅速增加而增大。
上一頁
下一頁