速度補償仿真分析
本章以工程應用的沖壓機械為研究對象,選用兩種工況,首先對柔性速度補償裝置在單自由度下,即伺服電機不動作情況下,采用系統動力學理論方法,應用Adams仿真軟件,分析柔性速度補償裝置的整體動力學性能、承載性能以及速度補償效果。然后,本章選定采用基于迭代的學習控制方法作為該柔性速度補償裝置的控制策略,對柔性速度補償裝置進行兩自由度情況下的動力學仿真,研究其速度補償效果和柔性性能。
本章所做的動力學仿真和控制算法對解決其在工程問題的實際應用具有重要的參考價值。
§4.1基本概念
4.1.1虛擬樣機技術
機械工程中虛擬樣機技術又稱為機械系統的動態仿真技術,是國際上20世紀80年代隨著計算機技術得發展而迅速發展起來得一項計算機輔助工程(CAE)技術。工程師在計算機上建立樣機模型,對模型進行各種動態性能分析,然后改進樣機設計方案,用數字化形式代替傳統得實物樣機實驗。運用虛擬樣機技術,可以大大簡化機械產品得設計開發過程,大幅度縮短產品開發周期,大量減少產品開發費用和成本,明顯提高產品質量,提高產品得系統級性能,獲得最優化和創新得設計產品。
虛擬樣機作為產品設計的一項新技術,對傳統的產品設計方法是一次革命。通過虛擬樣機技術,工程師可以通過機誡系統運動仿真,在產品設計階段發現產品設計中的潛在問題,并快速進行修改,減少了對于物理樣機的依賴,這樣不僅可以節省成本,縮短產品開發周期,而且可以提高產品性能,增強產品競爭力
虛擬樣機技術的研究范圍主要是機械系統運動學和動力學分析,其核心是利用計算機輔助分析技術進行機械系統的運動學和動力學分析,以確定系統及其各構件在任意時刻的位置、速度和加速度,同時,通過求解代數方程組確定引起系統及其各構件運動所需的作用力及其反作用力。
虛擬樣機仿真技術包含兩方面的內容:一是幾何仿真,即機構的幾何特性與裝配關系的仿真;二是性能仿真,即系統運動性能及動力特性的仿真。幾何仿真是通過虛擬造型技術直觀、準確地反映產品的幾何特征與裝配關系,進而在設計早期預測系統干涉、檢驗裝配缺陷,以便順利進入下一步的運動學、動力學仿真中。建模的過程是為幾何模型施加切合實際的特性,如約束、驅動力、摩擦及剛度等性能參數。合理的幾何仿真是通過性能仿真進行優化設計的前摸與基礎。
4.1.2 Adams仿真軟件
機械系統動力學自動分析軟件ADAMS (Automatic Dynamic Analysis of Mechanical Systems),是美國MDI公司(Mechanical Dynamics Inc.)開發的虛擬樣機分析軟件。
目前,ADAMS一方面是虛擬樣機分析的應用軟件,用戶可以運用該軟件非常方便地對虛擬機械系統進行靜力學、運動學和動力學分析。另一方面,又是虛擬樣機分析開發工具,其開放性的程序結構和多種接口,可以成為特殊行業用戶進行特殊類型虛擬樣機分析的二次開發工具平臺。
ADAMS軟件,可以自動生成包括機一電一液一體化在內的、復雜系統的多體動力學數宇化虛擬樣機模型,能提供從產品概念設計、方案論證、詳細設計、到產品方案修改、優化、試驗規劃甚至故障診斷各階段、全方位、高精度的仿真計算分析結果,從而達到縮短產品開發周期、降低開發成本。提高產品質量及竟爭力的目的。
作為數字化功能樣機技術的代表,ADAMS的主要功能有:
l、豐富的分析功能:系統運動分析、靜態分析、準靜態分析、動態分析、靈敏度分析等;
2、完善的前后處理功能:簡單的建模功能;曲線(頻域和時域)、表格、圖形(包括動畫)的輸出;
3、可以對直接設計的系統進行預測,如干涉檢驗,軌跡校核、靈敏度分析等;
4、可對已有的系統進行性能評估,諸如振動與噪音的分析等;
5、可對原有系統進行改進,如提出最佳的幾何結構與裝配方案。
4.1.3.衡量速度波動的參數
機械運行過程中必然會產生速度波動,但是速度波動的大小的有一個衡量標準,通常是用機械運轉速度不均勻系數δ來表示速度波動大小的。
如圖4-l所示為在一個周期內等效構件角速度的變化曲線,其平均角速度田。在工程實際當中,常用其算術平均值來表示,即ω
m=

。ω
m也可由機械的名牌上查得額定轉速n(r/min)后進行換算而得到。
機械速度波動的程度不能僅用速度變化的幅度(

)來表示。這是因當(

)一定時,對低速機械和對高速機械其變化的相對百分比顯然是不同的。因此,平均角速度ω
m也是一個重要指標。綜合考慮這兩方面的因素,故可以用機械運轉速度不均勻系數δ來表示機械速度波動的程度,其定義為角速度波動的幅度(ω
max-ω
min)與平均角速度。ω
m之比,即:
不同類型的機械,對速度不均勻系數石大小的要求是不同的。表4-1中列出了一些常用速度不均勻系數的許用值。
表4-1常用速度不均勻系數的許用值
|
要求的速度平穩性 |
[δ] |
|
非常平穩 |
<0.003 |
|
中等平穩 |
0.003-0.012 |
|
平穩,允許有某種波動 |
0.012一0.05 |
|
中等的波動 |
0.05一0.2 |
|
容許大的波動 |
>0.2 |
所設計的機械速度波動不應超過其參考許用值,即滿足如下條件:δ≤[δ],例如傳統的沖壓機、軋壓機器[δ]=1/7-1/10。本文設計的柔性速度補償裝置,是針對精密沖壓機械的,所以[δ]參考值至少為0.012-0.05(平穩,允許有某種波動)。
§4.2建模和仿真
鑒于本文物理建模的需要,下面針對該軟件的建模方式做介紹。
實體建模對于本文來講即為柔性速度補償裝置的機構虛擬樣機的造型與組裝,其中基本元件有:構件、力、約束、運動激勵等。
1、構件,即相互運動的剛體或剛體固定件,當定義構件時,需要給出構件的局部坐標系的原點方向、構件的質心位置、質量、對某一參考座標系的轉動慣量、慣性積等,所有這些屬性特征完全由ADMAS本身建模后自動建立。
2、約束,是指機構內兩構件間的聯接關系,它限制兩構件在某個方向上的相對運動,相對運動的方向由約束的類型所決定。ADAMS提供的約束類型有:理想約束、虛約束、運動激勵。
3、運動激勵,是指定一個構件相對于另一個構件按約束允許的運動方式、以給定的運動規律進行的運動。
ADAMS豐富的建模元素在適當的技巧與自定義函數的協助下,可充分描述實際存在的各種運動及力學分析。
系統的仿真步驟為:
1.運動分折:對機構進行必要的運動分析,大致了解其運動規律:
2.環境設置:設置仿真環境并定義備部件的材料性能等參數;
3.約束定義:施加約束,并定義各約束的屬性;
4.定義激勵:建立驅動及力,即計算系統在給定位置上對給定激勵的各種響應,包括位移、角位移、速度和加速度響應等,并計算有激勵產主的約束力;
5.結果處理:顯示、處理并輸出仿真結果。
4.2.1工況給定
取沖壓機械中典型載荷為例,在沖壓運動周期中,沖頭受載荷的時間很短,而沖壓載荷比空程時的摩擦阻力要大得多,這是沖壓機械的典型特征。就是這種瞬時極大的沖擊載荷給速度造成很大的波動,導致系統電壓不穩,加工工藝降低等弊端,而且電機要按高峰載荷來選取,回程時負載極小,造成浪費。
將沖壓機械簡化為一曲柄滑塊機構,物理參數為:
曲柄長度Ll=35mm,連桿長度L2=80mm,滑塊的體積為750mm3,材料為鋼材(密度為780Ikg/m3),電動機型號為Y1ooL2-4,電動機軸至曲柄的傳動比為i=23.833。
現假設有兩種運行工況,其負載分別如圖4-2、圖4-3所示。通過兩種具體沖壓載荷情況來分析柔性速度補償裝置的補償性能。
首先在Adams下對曲柄滑塊機構進行樣機建模,如圖4-4所示,然后在理想情況下(忽略摩擦)進行動力學仿真,具體如下:
等效驅動力矩可由電動機機械特性導出,設Mm、Mde分別為電動機輸出力矩和等效驅動力矩,兩者有如示關系:Mde=iMm,式中i為傳動比。則可得出等效驅動力矩:
Mde=-14845.5+6076.82ω-580.256ω2
式中ω為曲柄轉速。
將以上驅動力矩和阻力施加在虛擬樣機上,進行動力學仿真,ω初始值設為6.55rad/s。分別得出圖4-5、圖4-6所示的兩種工況的速度穩態響應圖。
圖中慮線表示空載情況下ω的穩態響應,可見很快達到穩定,速度濾動很小,實線表示加載過程ω的穩態響應。顯然,在加載時段,當載荷驟增時,會導致速度大幅降低。
用機械運轉速度不均勻系數δ來表示機械速度波動的程度,

。在加載過程中,依據這兩個公式,分別計算兩種工況的速度波動情況如表4-2。
表4-2速度補償前速度波動情況
|
工況1 |
=6.5957rad/s |
=5.7962rad/s |
δ1=0.1290 |
|
工況2 |
=6.6063rad/s |
=5.5377rad/s |
δ2=0.1760 |
根據推薦值,選用速度平穩性級別為“平穩,允許有某種波動”的不均勻系數許用值:[δ]=0.012-0.05,顯然δ1、δ2都超過了[δ],上述兩種情況己超出了該許用范圍。
4.2.2第一階段的速度補償
首先在伺服電機不動作的情況下,機構只有常速電機驅動,進行仿典。針對所取實例的負載情況,設計該柔性速度補償裝置的各項結構參數,并應用Adams軟件對其進行動力學分析,驗證其速度補償的效果。
經反復試驗,建立樣機模型如圖4-7所示,標號同圖3-1,模型尺寸為:r1=20mm,r4+r6=200mm,r2+r3=2OOmm,厚度均為5mm,材料為鋼(同曲柄滑塊),滑塊同前,不計摩擦,經減速器減速,驅動力矩函數關系式不變,加在曲柄1上。
各項參數、力矩函數設定好后,首先不加負載,試驗空載狀況,如圖4-8所示。
可以看到,經過柔性速度補償裝置之后輸出的速度波,也不是平穩的,也有波動,然而正是要合理的利用該速度波動,來抵消瞬間峰值負載造成的速度波動,比如,利用產生的速度波峰來抵消載造成的波谷,兩者大小相當,位置相當(這要靠設計合造的機構和調整合適的參數來實現),就可以疊加后產生一個平穩的速度輸出,其它不是負載的時段,柔性速度波動造成的波動,不影響工作,甚至可以行程急回,這更有利于整個系統。
再看電機的狀態,如圖4-9所示,電機在只驅動柔性速度補償裝置,不加前面所示的負載時,電機輸出的速度波動很小,很快就達到平衡,電機的驅動力矩也很快達到穩定,且力矩波動微小,如圖4-10所示。
現要對上述兩種工況的波動幅值、寬度、時間段、阻力矩等數據進行分析,然后通過對柔性速度補償裝置的滑塊3初始位置的設置,設計一種波動,使得該裝置分別產生一個和圖4-5、圖4-6所示波峰值大小基本相等,但波形相反、位置匹配的速度波,以抵消原來加載時引起的速度波動,達到速度調節的作用。
工況1:加載時設置滑塊3初始狀況為從中間位置右移10mm,電機函數及其它參數不變,進行動力學仿真,其結果如圖4-11、圖4-12所示。圖中,縱軸上速度為負值,表示與輸入軸曲柄速度方向相反。
上述工況下,電機力矩和負載力矩的變化如圖4-13,圖4-14:
工況2:加載時設置滑塊3初始狀況為從中間位置左移8mm,電機函數及其它參數不變,進行動力學仿真,其結果如秋4-15、圖4-16所示。圖中,縱軸上速度為負值,表示與輸入軸曲柄速度方向相反。
和工況上相比,工況2的負載特點不變,仍然是在一周期運動過程當中,加載的時段,載荷劇增。只是載荷的大小、位置,調節結構參數,仍然可以得到很好的速度補償效果。
只是這種情況只在一定的載荷變化范圍內,調節的是有效的,如果載荷變化大,超出允許的范圍,該裝置的補償效果就不理想了。
上述情況下郵電機力矩和歲載力矩的變化如圖4-17、圖4-18:
將上述兩種工況下經柔性速度補償裝置速度補償之后的數據分析計算如表4-3所示。
表4-3速度補償前速度波動情況
|
工況1 |
ωmax=7.2969rad/s |
ωmin=7.0178rad/s |
δ1=0.0390 |
|
工況2 |
ωmax=6.0128rad/s |
ωmin=5·7656rad/s |
δ2=0.0420 |
以上兩組數據分析表明,加載時,經柔性速度補償裝置速度補償后的速度輸出,在加載的時段,速度波動明顯減小,具體數值可參看其局部放大圖,另外,阻力矩和電機的主動力距和加柔性速度補償裝置前數值大小沒有明顯變化,表明對原機械系統的電機和其它動力、強度等一些性能參數沒有大的影響。
兩種工況下,δ均在不均勻系數許用值范圍內,速度平穩,可見速度補償裝置的速度調節作用顯著。
§4.3控制策略與第二階段的速度補償
本論文所研究的柔性速度補償裝置的設計思想是立足于傳統機構學,強調以機構為主體,以控制為輔助,但也同時重視機構與控制的有機集成。因此選擇合適的控制策略,和機構能很好的配合,才能完成所設計的速度調節。計算機具有的軟件可調性為機器控制系統提供了柔性化和智能化的可能性,所以也是本論文極為重要的一環。
4.3.1選定控制方法
經分析,認為基于適度柔性機器理論的柔性速度補償裝置,其控制方式仍具有挑戰性,這主要是因為:
(1)常速電機在系統的運轉過程當中是不可控的。
(2)由伺服電機驅動的輸入運動和常速電機驅動的輸入運動是否能很好的耦合。
控制方式有多種,有經典的PID控制,也有現代的智能控制。經分析,并參考前人在該類機構控制方面所做的一些研究工作,決定系統采用學習控制(1eaming control)的方法。這也是由該柔性速度補償裝置本身的特點決定的:
(1)模型不確定。工作當中會因工作環境變化、磨損、受力受熱等情況使工作情況發生變化,但這些變化無規律可循,只能靠控制來逐漸逼近期望輸出。
(2)周期性。柔性速度補償裝置是以常速電機驅動的曲柄旋轉一周為一周期的。
(3)需要控制簡單、迅速,成本低。
依據這些這些特點,選擇學習控制的方法作為柔性速度補置的控制方案。
學習控制是智能控制策略的一種。簡單的說,由干對未知信息的估計逐步改善而導致控制性能的逐步改善,就是自學習控制。對學習控制的定義,不少學者給出了各自的見解:
Y.Z.Tsypkin把系統中的學習一詞理解為一種過程,通過重復各輸入信號并從外外部校正該系統,從而使系統對于特定的輸入信號具有特定的響應。而自學習就是不具有外來校正的學習,或即不具有懲罰和獎勵的學習。
G.N.Saridis認為,如果一個系統能對一個過程或其環境的未知特征所固有的信息進行學習,并將得到的經驗用于進一步估計、分類、決策或控制,從而使系統的品質得到改善,那就稱此系統為學習系統。
而學習系統將其得到的信息用于控制具有未知特征的過程,就成為學習主之制系統。
L.walter和J.A.farrell給出了比較完整、規范的學習控制表述是:一個學習控制系統是具有這樣一種能力的系統,它能通過與控制對象和環境的閉環交互作用,根據過去獲得的經驗信息,逐步改進系統自身的未來性能。
這種表述說明了學習控制的一般特點:
(1)有一定的自主性。學習控制系統的性能是自我改進的;
(2)是一種動態過程。學習控制系統的性能隨時間而變,性能的改進在與外界反復作用的過程中進行;
(3)有記憶功能。學習控制系統需要積累經驗,用以改進其性能;
(4)有性能反饋。學習控制系統需要明確它的當前性能與某個目標性能之間的差距,施加改進操作。
學習控制有多種分類,本文采用基于迭代和重復的自學習控制。這類學習控制主要是針對在一定周期內作重復運動的系統,它不但與傳統的控制理論相聯系,而且可導出易于工程實現的學習控制規律。這正符合本課題的要求。
基于迭代和重復的自學習控制,其基本思想是針對一類特定的系統但又不依賴系統的精確數學模型,它通過反復訓練的方式進行自學習,使系統逐步逼近期望的輸出。控制作用的學習是通過對以往控制經驗(控制作用與誤差的加權和)的記憶實現的。算法的收斂性依賴于加權因子k的確定。這種學習系統的核心是系統不變性的假設以及基于記憶單元的間斷的重復訓練過程,因而不但有較好的實時性,而且對干擾和系統模型的變化具有一定的魯棒性。
4.3.2控制算法
柔性速度補償裝置特征之一就是具有柔性、可控性功能。這一特征主要是靠控制器通過對伺服電機的實時在線控制來實現的,伺服電機是控制系統關鍵的執行元件。
系統的具體控制算法如下:
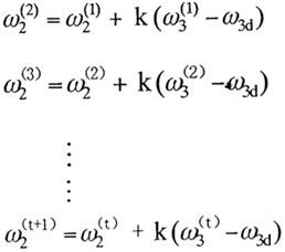
設ω1、ω2、ω3、k分別為常速電機輸入速度,伺服電機的輸入速度,輸出速度,理論輸出速度(理想值)和加權因子,e為輸出速度和理論輸出速度值的誤差范圍。迭代周期以常速電機旋轉一周(2π)為一周期,迭代進行一次。
則迭代過程如下:
迭代直至判斷式:δ=|

|≤e。滿足時,即說明該周期系統的誤差收斂,則該周期終止,輸出

,然后進入下一輪迭代,依此循環下去。
整個柔性速度補償裝置系統的控制方式如圖4-19所示:
4.3.3第二階段的速度補償
第二階段的速度補償是在常速電機和控制器控制的伺服電機混合驅動的情形下,進行的動態仿真,是跟進一步的速度補償。
依照此學習控制算法,第一輸入還是采用上述等效力矩模型不變,然后設置第二自由度輸入函數,再進行兩自由度的動力學仿真分析,研究該柔性速度補償裝置的柔性功能和速度補償效果。
由于控制的數學模型不確定,所以只能通過先給第二輸入一個初始函數,比如三角函數,加權因子先給一個假設值,然后經兩自由度機構輸出一個速度波,根據算法和理想值比較,誤差如果超出允許范圍,計算機經計算給定第二步的輸入函數,再進行速度補償,取得第二個輸出速度波……依次循環,逐步逼近理想輸入函數。通過不斷的調試,選擇合適的加權因子,直到速度輸入函數逐漸收斂為止,這樣就得到了理想的第二輸入速度函數。
迭代步驟如下:
初始設置加權因子k=10,ω1=ω3d=6.5rad/s,第一輸入等效力矩模型和負載力矩模型依前述單自由度仿真建立。v2為ω2經螺旋傳遞裝置轉化為往復運動的速度。
第一步:(1)給第二輸入一個函數,假設

,如圖4-20所示。
(2)在adams下建立的樣機模型里,將上述速度值設置到第二輸入中,設置好后,進行仿真。得到輸出速度圖4-21。
(3)將上述輸出速度圖每隔0.005秒采樣一次,得到一組輸出速度值的離散數據,以數據文件格式輸出,如圖4-22所示(圖中只截取0.2秒內)。
(4)將上述數據,形成一組輸出速度函數

,控制器調用學習控制算法,先根據判斷式:
判斷是否超出許用值,在誤差范圍內。如果超出,用以下算式計算,
得到新的一組

值,數據處理轉化成平動速度,擬合形成3階擬合曲線函數,如圖4-23所示(實線為擬合曲線,下同)。
第二步:(1)將上述擬合的函數:作為新的第二輸入函數:
(2)在Adams下建立的樣機模型里,將上述

速度函數設置到第二輸入中,設置好后,進行仿真。得到輸出速度曲線,如圖4-24所示。
(3)同樣,將上述輸出速度圖每隔0.005秒采樣一次,得到一組輸出速度值的離散數據,以數據文件格式輸出,如圖4-25所示(截取0.05秒內)。
(4)將上述數據,形成一組輸出速度函數

,控制器調用學習控制算法,先根據判斷式:
判斷是否超出許用值,在誤差范內。如果超出,用不以下算式計算,
得到新一組

值,數據處理轉化成平動速度,擬合形成3階擬合函數曲線,如圖4-26所示(圖中實線為擬合函數)。
第n步:
依次類推,程序一周期迭代一次,直至得到符合要求的輸出速度,最后得到一組理想的第二輸入速度函數。
由于算法是用C語言編寫的,它和Adams軟件的接口技術問題一直沒有很好的解決,導致上述過程事實上分兩階段手動完成的,就是先仿真得到輸出速度曲線,然后將該曲線離散化輸出到數據文件當中,然后在C語言環境下,調用該數據文件,編程處理計算出新的ω2。所以這一部分沒有實現完全的控制和仿真聯合起來,導致無法得到一個收斂的ω2函數和一個比較適合的加權因子k的值,很是遺憾。
§4.4本章小結
在本章中,經理論分析和仿真研究表明,該柔性速度補償裝置主要融合一些適度柔性機器原理,利用機構自身的運動特性,并通過伺服驅動系統的適度調整來調節速度的波動。
首先伺服電機不動作,該裝置作為一個單自由度機構就可以補償大部分的速度波動。然后,采用學習控制的方法作為該柔性速度補償裝置的控制策略。因為基于迭代的學習控制基本思想是針對一類特定的系統但又不依賴系統的精確數學模型,它通過反復訓練的方式進行自學習,使系統逐步逼近期望的輸出。在控制算法控制下伺服電機依據波動情況驅動第二輸入,實現在兩自由度機構和控制系統協同工作,最終為執行機構提供一個比較平穩的速度輸入。
該補償裝置的主要特點是具有適度的柔性,可在一定范圍內根據機械參數或運行工況的變化而進行相應調整。此外,其柔性還體現在對非加載時段的速度波動可根據需要選擇是否進行補償,不是全程速度補償,從而適度降低補償的代價。