三環減速器的振動及其實驗研究
6.1 引言
實際運用已經表明,SHQ40 型三環減速器存在著比較嚴重的振動、并伴隨溫升、沖擊等問題。在中高速、重載下更為突出,己成為該產品能否大規模生產及推廣應用的嚴重障礙。本章提出三環減速器振動參數的理論計算,并對SHQ40 型的振動進行分析。用理論及實驗進行對比研究,驗證本文提出的內齒行星傳動理論的正確性。并為降低三環減速器振動沖擊提出一些可以實施的方案。通過理論計算,這些方案的效果均顯著。對進一步改進設計三環減速器,控制振動具有重要的指導意義。
6.2 三環減速器的振動參數
三環減速器是由三套(三相)雙曲柄連桿齒輪機構并列構成的相互約束的閉環機構。因此,各齒板(連桿)及偏心套莊轉動過程中,將產生水平和垂直方向的交變質性力。該慣性力通過各軸及軸承轉化為箱體軸承載荷傳遞給箱體,使其在垂直于齒板平面的兩個坐標面內產生不平衡的交變力偶矩,從而使減速器產生振動。當機構存在變形或誤差時,減速器的輸入機構變成曲
柄搖桿機構。此時,一套子機構過死點時,將由另兩套子機構,強行推動其越過曲柄搖桿機構的死點位置,這勢必造成死點位置的載荷沖擊。該沖擊載荷也將引起箱體的強烈振動。因此,三環減速器的振動是由機構的交變慣性力和過死點時產生的沖擊載荷引起的。下面用振動速度、振動加速度等參數來描述三環減速器的振動問題。
6.2.1 齒板的振動速度和振動加速度
無論是慣性力還是死點沖擊力,都將使構件產生變形,使其質心產生位移。因此,可以用齒板質心位移對時間的導數一速度、加速度來描述齒板的振動或沖擊。
齒板簡圖如圖6-1所示。以齒板支承軸孔與偏心套的接觸點為參考點,則齒板質心的位移為
以上各式中的

等通過求解三環減速器的動力分析方程得到。
6.2.2箱體軸承座的振動速度、振動加速度
三環減速器內部機構運轉時產生的動載荷及沖擊載荷均通過各軸傳遞給箱體軸承,產生軸承載荷,作用于箱體軸承座,使箱體產生振動。因此,可以用箱體軸承座處理的軸中心的振動速度、加速度來描述軸承座處的振動。
式中 Khi是箱體軸承剛度;

支承各軸的軸承載荷是轉角

函數。
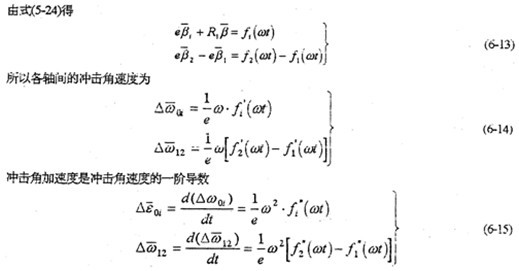
6.2.3傳動軸的沖擊角速度及沖擊角加速度
理想情下(機構無變形、無誤差等),三環減速器的各傳動軸之間無角速度沖擊產生各軸之間相對角速度、角加速度為零,即
式中

是高速輸入軸與高速支承軸之間的沖擊速度及沖擊角加速度;

是輸出軸與高速軸之間的沖擊角速度及沖擊角加速度;

是高速輸入軸或支承軸的角速度;

是高速輸入軸或支承軸的角加速度;

是輸出軸的角速度及角加速度。
I是三環減速器的傳動比。
由于減速器機構的變形及各構件的誤差,使各傳動軸的角速度及角加速度不再滿足條件式(6-8)及式(6-9),亦在運轉過程中各軸之間存在角速度及角加速度的沖擊現象。該沖擊將直接導致系統振動,使輸出速度產生波動、降低其輸出的穩定性,并產生沖擊載荷。
設在某t時刻,各軸所轉的角位移分別產

如圖6-2所示,則各軸的角速度為
6.2.4轉速、傳動比及轉矩的波動
軸間的沖擊將引起輸出的轉速波動,并使三環減速器的傳動比不再為恒定值。若輸入軸的轉速為n,則輸出軸的轉速可表示為
6.3SHQ40型三環減速器的振動分析
根據上一節導出的三環減速器的振動參數計算公式,可以對有誤差和無誤差時的三環減速器的振動參數進行計算。
6.3.1無誤差時的沖擊振動分析
在不考慮三環減速器機構運動副間隙、齒形誤差,以及分度誤差時,中間齒板的振動速度、加速度見圖6-3所示。由圖可看出:
1.無論振動速度還是振動加速度,沿水平方向的幅值均比鉛垂方向的大,這一點與實測結果相吻合。
2.在齒板的振動時域曲線中存在其平動運動的穩態分量,在機構的兩個死點位置即t=0.03S,0.06S附近出現兩次幅值不等的速度及加速度沖擊,說明三環減速器齒板的振動主要是由于雙曲柄機構變成曲柄搖桿機構,在強行過“死點”時產生的載荷沖擊引起的。
3.死點水平方向的沖擊速度及加速度最大值為
Vmax=15.69 mm/s
amax=23539 mm/s
圖6-4是支承軸軸承座及輸出軸軸承座的振動速度及振動加速度時域圖。圖(c)中,一個周期內的三根較長的沖擊棒線分別是三相機構因死點引起的嚙合沖擊。軸承座的振動速度比齒板的振動速度小,但振動加速度比齒板振動加速芳略大,最大值為
vmax=13.511 mm/s
amax=24689.375 mm/s
輸出軸軸顧座的振動速度及加速度都比支承軸或輸入軸軸承座的小10倍左右,其最大值為
vmax=1.2 mm/s
amax=2058.999 mm/s
由此可見三環減速器產生振動主要是由于高速軸沖擊動載荷作用箱體軸承而引起的。
圖6-5是輸入軸與輸出軸之間產生的角速度及角加速度沖擊的時域曲線。從圖可以看出兩軸在機構死點位置,振動的沖擊速度及沖擊加速度均很大。
由以上分析說明了SHQ40型三環減速器在無誤差時,產生振動的根源來自兩方面:
1.由于各齒板作平動轉動時因慣性力產生的穩態振動;
2.因雙曲柄機構變形為搖桿機構后,強行通過死點而產生的死點沖擊載荷引起的沖擊振動。
在以上兩點中,前者機構性質決定了的,是固有的。后者所占在重比前者大幾倍甚至上十倍。因此,控制三環減速器的振動只有從后者入手。
6.3.2有誤差時的沖擊振動分析
當三環減速器各構件存在誤差或運動副有較大的間隙時,產生的死點沖擊振動更加大。
圖6-6是輸入軸上靠近輸入端的偏心套旋轉0.5°(分度誤差)時,理論計算出的齒板振動及軸承座的速度及振動加速度。從圖看出,沖擊發生在過0°的死點位置,其幅值比無誤差
時的沖擊值大10倍左右。
圖6-7是某相雙曲柄機構在輸入端具有0.03mm間隙時,齒板及軸承座的振動速度、振動加速度。圖中表明,速度、加速度都在兩個死點位置出現較大的沖擊值。
由上述分析可知,誤差引起減速器的死點沖擊振動,比無誤差時大許多倍,而有在水平方向明顯大于垂直方向的。因此,在加工時,要盡可能減小誤差、降低振動。
6.4SHQ40型三環減速器的振動實驗
為了驗證用本文提出的理論計算結果的正確性,我們對SHQ40型三環減速器做了振動測試實驗。
6.4.1實驗系統的配置
實驗在重慶大學機械傳動國家重點實驗室電功率封閉式齒輪試驗臺上進行的,實驗系統總配置如圖6-8所示。
實驗時,通過控制臺操縱,交直流機組1發出直流電壓設直流測功機1按恒定轉速帶動整個傳動系統運轉。SHQ-2及汽車變速箱將被測試件SHQ-1輸出的轉速升高后驅動直流測功機2發出直流電流,該電流經交直流機組2逆變為工頻交流電返回電網,完成整個電功率封閉傳動鏈。控制參通過控制交直流機組電壓、電流、改變傳動系統的轉速轉矩大小。被測信號由加速度傳感器提取,經由電荷放大器放大后,進入磁帶記錄儀及CF-355頻譜分析儀進行分析計算。電功率流封齒輪傳動實驗臺如圖6-9所示。
圖6-9 電動率流封閉齒輪傳動實驗臺(圖略)
6.4.2多于SHQ40的測點布置
被測對象是用于起重行業的單級三環減速器。布置型式為110型,二高速軸位于低速軸同側,轉動中心共線。實物如圖6-10所示。其主要參數為
圖6-10SHQ40型三環減速器(圖略)
傳動比:i=16
額定轉速:n=750rpm
額定功率:N=10KW
齒輪參數:Z1=48、Z2=51、e=6.392、m=4、B=30mm
軸間距:L1=190mm、L2=210mm
中心距:L=400mm
其他:S=55,d=34mm
為了將理論分析的結果與振動測試分析結果對比印證,將測點選在三個箱體軸承座及齒板支承軸孔的上邊緣,如圖6-11所示。
6.4.3 實驗步驟
1.跑合試驗
正式試驗之間,減速器在試驗臺上分別以200rpm,300rpm,400rpm,500rpm,…1500rpm空轉,進行20小時的跑合試驗,跑合完畢后更換潤滑油。
2.空載試驗
分別在轉速為800rpm,1000rpm,1500rpm三種空載工況下,測試記錄SHQ40齒板及箱體軸承座上各測點的振動速度及加速度。
3.加載試驗
分別在800rpm,1000rpm,1500rpm等轉速下,測試齒板及箱體軸承座的振動速度及加速度。
6.5 理論計算與實驗結果對比分析
測試結果經頻譜分析處理后,將其與理論計算的結果進行對比分析如下。
1.齒板的振動

圖6-12是齒板的實測振動加速度時域曲線圖。從時域曲線圖可知,SHQ40 型齒板的振動加速度中,存在穩態正弦分量,它是由于齒板作圓周平動運動產生。在其上迭加的每轉兩次沖擊及其振動響應衰減信號,明顯表現出齒板的加速度沖擊信號,而且最大沖擊發生在齒板過死點位置,每轉兩次非等幅沖擊,恰好構成轉頻16.667Hz 的周期函數。
經轉換計算后,加速度的最大沖擊值為a
max 二21844mm/s
2。從加速度時或曲線規律發生死點的位置以及最大沖擊值看均與理論計算結果(見圖6-3 )相吻合。
2.箱體軸承座的振動
由于每片齒板都存在同樣的周期性激勵沖擊函數,相位差120°,迭加后的總效果仍然是轉頻周期函數。因此對箱體軸承座的沖擊也呈周期性。圖6-13是支承軸箱體軸承座的振動速度及加速度的實測時域曲線圖。其曲線圖的變化規律及幅值與圖6-4完全接近。速度及速度沖擊值為

。圖6-14是輸入軸軸承座的實測振動加速度時域曲線及其頻譜分析圖。從加速度譜圖中看出,第一譜峰的頻率值為33.75Hz,恰好是輸入軸轉頻的二倍,也是死點沖擊頻率。死點沖擊是一周兩次,其頻率為33.4Hz,這說明理論計算的結果完全可靠;第二譜峰的頻率值為16.87Hz ,與齒板轉頻(輸入軸頻率)相近,是齒板的穩態振動頻率;第三譜峰的頻率值為49.55Hz ,是三環減速器的嚙合頻率(50Hz) ,第四譜峰的頻率值為99.50Hz ,是死點的嚙合沖擊頻率。圖6-15是某單齒環內齒行星齒輪減速器的軸承座振動加速度的實測及理論計算曲線圖。從圖可以看出理論和測試的分布規律極為相似。圖中一個周期有一次較大的加速度沖擊峰,是由于行星齒板過180°死點時產生的嚙合沖擊。
從以上對軸承座的振動實測結果及頻譜分析可知,激勵三環減速器振動的載荷主要有:
(1)平面四桿機構因變形或誤差,在過死點位置時對軸承座產生的沖擊載荷;
(2)齒板作平動圓周運動時產生的穩態動載荷;
(3)齒板與外齒輪之間齒輪副的嚙合沖擊;
(4)平面四桿機構在死點位置時外齒輪造成的沖擊載荷。
3.輸出轉速轉動比
由于機構的變形及誤差等原因,將使輸出轉速及傳動比動變化,沖擊箱體、產生振動。圖6-16是對SHLEO15 型三環減速器實測及理論計算的轉速和傳動比隨時間變化的波動曲線。輸出轉速對比為
實測結果 理論結果
最大轉速 39.184(rpm) 39.95754(rpm)
最小轉速 35.358(rpm) 36.40373(rpm)
波動量 3.837 3.55381
傳動比對比為
實測結果 理論結果
設計傳動比 17 17
最大傳動比 17.556 17.580622
最小傳動比 16.229 16.017
波動量 1.327 1.5036
可見,實測值與理論值相近,說明理論計算結果正確。
以上的理論和實驗結果都表明,三環減速器的振動源于平行曲柄機構變形或因誤差產生的死點沖擊。沖擊力大小與載荷成正比,沖擊發生的時間與轉速成反比。功率越大,嚙合力也越大,沖擊峰越高;轉速越高沖擊脈寬越小,激振動力帶寬越寬。因此,減速器在高速重載時,產生的寬帶與較強能量的激振源更容易激發減速器及其附聯結溝的廣泛共振,從而發生強烈振動。特別是推動環板死點的沖擊力矩將可能造成箱體整體及附聯結構的強烈振動。沖擊力還將引起軸、軸承、鍵的較大交變動載,并可能引起鍵聯接的松動、摩擦,發熱等。
通過對SHQ40型三環減速器的理論計算結果及振動實驗的對比研究,說明本文提出的內齒行星傳動的動力分析理論完全正確,可以作為三環減速器等內齒行星傳動裝置的設計分析理論。
6.6 控制沖擊振動的方案
前面已從理論和實驗兩方向論證了三環減速器產生振動的根本原因是機構變形及誤差引起的死點沖擊。因此,應從解決死點沖擊出發控制其振動。
1.采用雙軸輸入降低死點沖擊
采用雙軸輸人的齒板及箱體軸承座振動速度、加速度如圖6-17所示。從圖看出齒板速度及加速度值明顯變小(為單軸輸人時的0.3倍),而且無沖擊,完全屬于穩太振動。箱體的振動速度及加速度幅值只是單軸輸人時的0.2倍。圖6-18a是一軸的偏心套存在0.05度的分度誤差時齒板的加速度曲線圖,圖中明顯出現加速度沖擊棒線。采用雙軸輸入后,死點沖擊被徹底(見圖6-18b) , 變成穩態振動曲線了。因此,為了減小三環減速器的振動,有必要加大三環減速器的橫向尺寸,在箱體內增加一套雙軸輸入的齒輪功率分流機構,或者在箱體外另設計一套功率分流機構,以解決機構過死點的振動問題。
2.改變支承軸的位置
在上一章已經分析過,當三軸水平布置而且高速軸在輸出軸的同側時,載荷幅值最大,各相嚙合力等都很不均衡(見圖5-24)。圖6-19是將支承軸布置在輸入軸與輸出軸間的150°位置時齒板的振動加速度。由圖可知,因誤差引起的沖擊已被完全克服,而且原有的穩態幅值也降低了很多。
3.增加行星軸承剛度、降低內齒圈剛度
增大行星軸承剛度的目的在于減小雙曲柄機構的變形,降低死點沖擊幅值。并且使各相嚙合力均衡化、減小嚙合沖擊。圖6-20是分別將行星軸承剛度增加一個數量級和內齒圈降低一個數量級時齒板的振動加速度。兩者加速度幅值均降低了1/4 倍左右。
4.減小支承軸或輸出軸的箱體軸承剛度
降低箱體軸承剛度是為了吸收內部機構對箱體的沖擊振動,減小沖擊幅值。圖6-21是轉速為1500(rpm)即時分別將支承軸及輸出軸的箱體軸承與軸之間加一3mm的彈性墊圈時,計算出的箱體振動加速度曲線。從圖中看出,減小支承軸箱體軸承剛度比減小輸出軸箱體軸承的效果更明顯。
5.增加高速軸的剛度
增加高速軸的剛度是降低沖擊載荷的重要途徑。軸的剛度大(值徑大),扭轉、彎曲變形小,雙曲柄機構變形也就小,這樣既減小了沖擊振動、又增加了軸的強度。圖6-22將高速軸的直徑由原來的45mm加到55mm后的,振動加速度圖。
6.對各齒板的死點位置進行修形
由于機構過死點時,因變形要引起死點沖擊,可以通過死點位置及其附近的輪齒(齒板)進行
修形,使三相載荷均衡化。圖6-23是將死點位置輪齒修形后,軸承座的振動加速度圖。與圖6-21(a)比較,總體幅值明顯下降。