4-1 引言
在探索具有非線性遲滯特性元件的系統在簡諧激勵下穩態響應的求解方法時,我們擬研究以下系統:
M

+

(x,

,A,ω)=Pcosωt (4-1)
式中M為系統質量,P為激勵力幅值,ω為激勵園頻率

(x,

,A,ω)=
1(A,x)+
2(A,x,

),
1和
2分別為上章中的(3-12)和(3-41)式。為研究方便,將(3-12)和(3-41)式代入(4-1)式并改寫成以下形式:
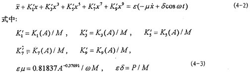
式中K1(A),K3(A),K5(A),K7(A),K9(A)為(3-27)式。由式(4-2)可知,這一系統是一個強非線性非自治系統。
目前文獻上的一些方法對于弱非線性系統是有效的,而對于(4-2)式的強非線性系統則遇到了麻煩。由于描述非線性振動系統的微分方程種類繁多,沒有普遍的解法,因此,仍然只有極少非線性振動方程可求得精確解。可行的辦法是針對不同非線性振動方程的特點尋求一些近似數值解法。為研究方便,將(4-2)式進一步寫成以下形式:
式中:
f(x,

,t)=-μ

+δcosωt (4-6)
ε為正小參數。
對于形如(4-4)式這樣的強非線性系統,李驪提出了一種新的頻閃法,近年,杜惠英和李驪用頻閃法研究了含有x5項強非線性系統的共振解和亞諧解雖然原則上該方法可適宜和于任意階強非線性系統,但是在實際應用中對更高階項會遇到積分計算問題,大大地限制了這種方法用于高階強非線性系統的研究。為了解決積分計算的困擾,本章提出一種新的方法一頻閃一諧波平衡法。
4-2 頻閃一諧波平衡法
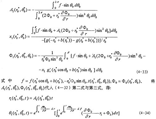
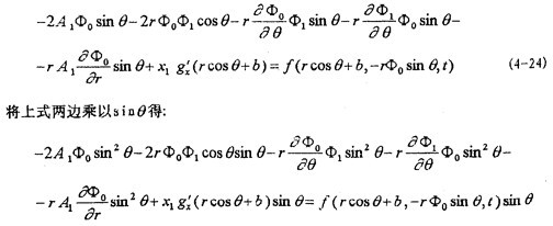
式中

,然后將(4-22),(4-23)及f(x,

,t)在rcosθ+b與-rф
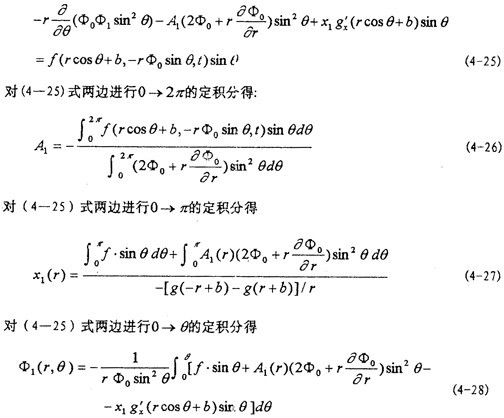
0sinθ鄰域內以ε冪級數展開式代入(4-4)式,由等號兩端ε的系數相等得:
合并后得
式中f=f(rcosθ+b,-rф0sinθ,t),在進行以上積分時f中的時間t 代入以θ表示的函數,求法如下:
因為A1,x1,ф1各式右端均為ε=0時(4-19)中第二式和第三式中ε=0得:
由此兩式可求得r=常數,θ=θ(r,

,t)然后可求出反函數t=t(r,

,θ)。由于t式中包含θ
0的初值

,因此由(4-26)~(4-28)式求得的A
1,x
1,ф
1中也必然所含

,即A
1(r,

), x
1(r,

),ф
1(r,

,θ
0)。
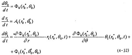
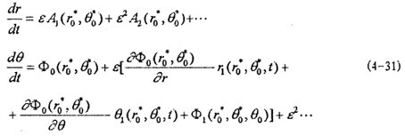
為得到(4-2)式的頻閃方程,首先由(4-20)求導得:
將(4-20)式代入(4-19)式,并將A
1,ф
1在

,θ
0鄰域內展開為ε的冪級數得:
比較(4-31)式與(4-30),由ε的同次冪系數相等得:
由此可解得θ
0=θ
0(

,

,t),反函數t=t(

,

,θ
0),將此式以及(4-20)代入(4-26)~(4-28)式,令等號兩端在

,θ
0鄰域內展開為ε的冪級數并令不含ε的項相等得:
設頻閃時間間隔為T=nT
0,其中T
0為x
0=

cosθ
0+b(

)的周期,n為正整數。于是有θ
0(

,

,T)=0。據此,由(4-20)和(4-34)并略去ε二次以上微量得:
△r=r(

,

,T)-r(

,

,0)=εA
1(

,

,T)T
△θ=θ(

,

,T)-θ(

,

,0)=εθ
1(

,

,T) (4-35)
令△τ=εT,則上式化為:
這就是對應于(4-20式的頻閃差分方程,即(4-2)式在Poicare平面上以T為周期的點變換方程。如ε充分小,則可令△τ=dτ,△r=dr,△θ=dθ,此外,(4-36)中的

,

雖為初始值但卻可以是平面上任一點(r,θ)于上(4-36)可寫成:
此式就是對應于(4-2)的頻閃方程。如果(4-37)存在一穩定一次奇點(r*,θ*),則在此奇點ε鄰域內必存在一點(

),使(4-2)以此點為初始的解為穩定周期解,周期為T,其一次近似表達式為:
在非線性振動系統中,為了求出系統的各次諧共振解,必須考慮(4-15)中各次諧波的影響,為此對以上方法作如下改進:
由(4-15)式可知,-dθ0/dt應為實數,因此,可以證明(4-15)中的
的絕對值小于1。于是可將(4-15)式中的根號部分展開成收斂冪級數。為了將冪級數形式的dθ
0/dt引入(4-33)、(4-34)各式進行計算,須對(4-33)中的積分項

進行變換。利用(4-18)式,得變換如下:
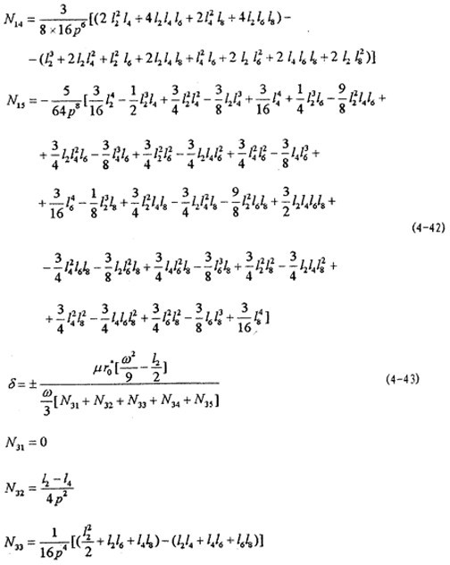
為求(4-2)的各次諧共振,令ω=(m/n)p,其中m,n,為互質整數。于是有:
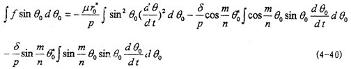
在非線性振動系統中,當系統受到周期性外力作用的情況下,有可能產生三類運動,非共振運動,共振運動,由非共振運動到共振運動的過渡過程,即瞬態運動。對于共振運動來說,有三類,(l)m=n,即ω=p,這是通常所說的共振,稱為主共振,(2)n=1,ω=mp,產生泛音共振,當m為奇數時,產生次諧波共振,(3)m=1,ω=p/n,當n為奇數時,產生超諧波共振。將幕級數形式的dθ0/dt代人(4-40),并計算該式在O-2區間的定積分,可以得出結論:只有當n=1,m=±1,±3,±5,±7,……時才可能得到(4-2)的周期解,并且(4-2)式只可能產生主共振解和次諧波共振解。
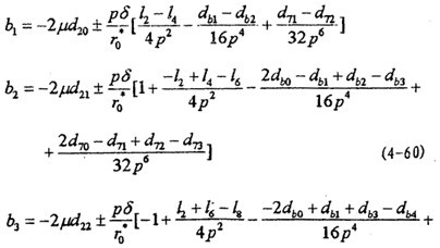
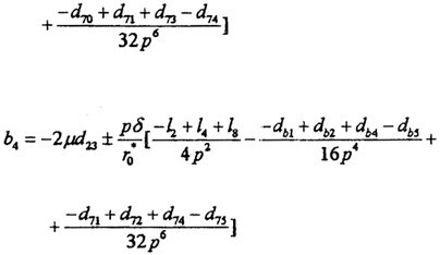
由前面推導可知,系統(4-2)有周期解時,第一個頻閃方程dr/dτ=A
1(r,0)=0,于是由(4-33)第一式和(4-40)式,再令n=1,m=1,3,5,7可求得(4-2)系統存在主共振解,1/3次諧波共振解,1/5及1/7次諧波共振解時,μ與δ,

應滿足的關系式為:
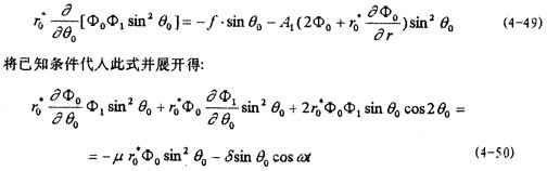
由(4-33)可算得x1=0,然而要在算得ф1后由(4-34)算得θ1,則會由于積分函數繁復而難以進行,在這種情況下,建議用以下方法來求ф1,從而求得θ1:
由(4-33)第三式得
等式兩邊同乘ф0得:
由于(4-49)右端是θ0的偶函數,因此,ф1將是θ0的奇函數,于是
將有關式代入(4-51)并比較等式兩邊各次三角函數的系數,得:
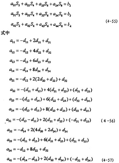
(4-54)
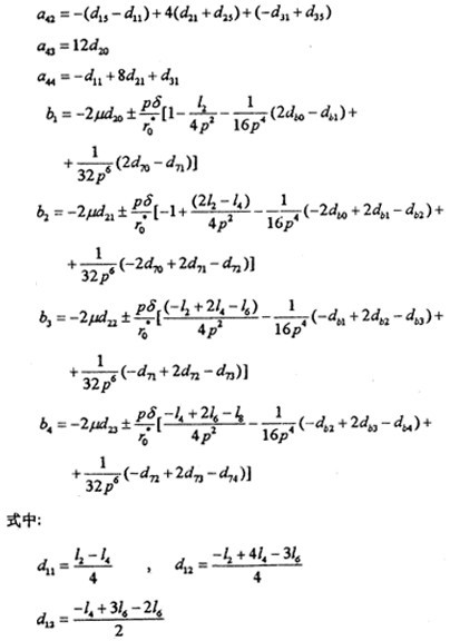
n=1, m=1 時,有方程組:
a11S2+ a12S4+ a13S6+ a14S8=b1
式中{Sk}=[S2 S4 S6 S8 ],系數矩陣[aij]在形式上與m=1時相同,但其中p=ω/3,而
式中各系數d形式上與m=1時相同,但其中p=ω/3。
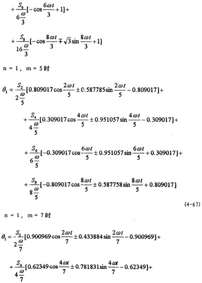
n=1,m=5 時,有方程組
[aij]{Sk}={bi} i,j=1,2,3,4, k=2j (4-61)
式中[aij]形式上與m=1時的(4-56)相同,但其中p=ω/5,而
式中各d系數形式上與m=1時相同,但其中p=ω/5。
n=1,m=7 時,有方程組
[aij]{Sk}={bi} i,j=1,2,3,4, k=2j
(4-63)
式中[aij]形式上與m=1時的(4-56)相同,但其中p=ω/7,而
式中各d系數形式上與m=1時相同,但其中p=ω/7。
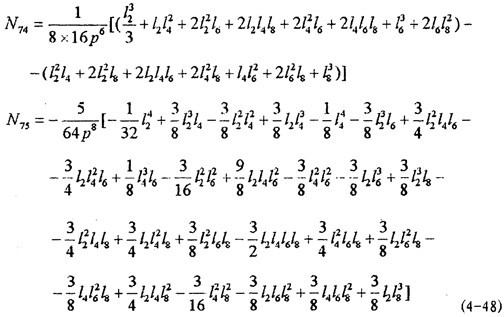
通過求解以上幾組四元一次線性方程組可求得S2,S4,S6,S8。在此基礎上根據(4-19)、(4-20)式中ф1與θ1的關系和(4-53)、(4-54)可得:
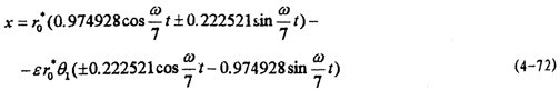
在以上工作的基礎上,便可根據系統周期解的一次表達式(4-38),得各種情況下的解析解:
x=±(

sinωt-ε

θ
1cosωt) (4-69)
式中θ1為(4-65)式。
m=3,系統的解析解為:
式中θ1為(4-66)式。
m=5時,系統的解析解為:
式中θ1為(4-67)式。
m=7時,系統的解析解為:
式中θ
1為(4-68)式。以上各式中上排符號對應正

,下排符號對應負

。由頻閃方程奇點的穩定性可知,

取正值時對應的解是穩定的。
代入(4-73),成為一個一元四次方程
a0R4+ a1R3+ a2R2+ a3R+a4=0 (4-75)
所以

可用公式直播妝求解(4-75),也可用數值求解。本文同時采用了公式法和數值法(牛頓-撒網格法)來求解

,比較表明后者較好。
至此,全部求出了(4-2)式的近似解析解。
4-3 近似解析解與數值仿真解的結果比較
為了說明柴油機閃一諧波平衡法的正確性和精度,我們分別用一個簡單例子和大撓度
彈性聯軸器系統(4-2)進行計算,同時與相應的數值仿真計算作比較。
例

+3x-3x
3+x
5-2x
7+x
9=0.1(-2.03059 +3cost) (4-76)
曲線圖如圖4-1所示。從圖中可以看到解析解曲線1和數字仿真解曲線2重合性較好,在振幅與相位上誤差都較小。
鋼絲繩彈性聯軸器系統(4-2)式中的參數取為:
式中p為激勵力幅值。
分別計算了八種振幅下的解析解和對應的數字仿真,如圖4-2~4-9所示。曲線1為解析解,曲線2為數字仿真解。各對應的解析解為:

=1時,δ=0.81837
從各曲線圖可以看到(1).解析解曲線1與數字仿真解曲線2的振幅誤差較小,

=1和

=2時兩者的重合性很好。(2).隨著振幅的增大,解析解曲線1和仿真解曲線2在相位上產生微小變化,解析解的相位超前仿真一個小量,原因是隨著振幅的增大,系統呈現更為強烈的非線性,而在推導中略去了高次項,但還是可以滿足工程的要求。(3)從(4-78)-(4-85)式中的各δ值可知,在聯軸器產生主共振的情況下,激振力很小。
4-4小結
本章針對穩態響應求解問題,作了以下工作并得結論:
1.在研究前人求解非線性系統響應的基礎上,針對穩態響應求解的買際需要,分析了方法的優點和不足,提出一種新方法一頻閃一諧彼平衡法,用于求解一類強非線性系統穩態響應的近似解析解。
2.頻閃一諧波平衡法的優點是:從有關公式可以一目了然知道系統的基本參數對系統特性的影響,如由(4-16)式可以知道系統的固有頻率p是動剛度、振幅、系統質量的函數,改變這些基本參數,可以改變系統特性,因此用這一方法對具有強非線性特性系統的動力學設計是十分有利的。
3.利用頻閃一諧波平衡法,以鋼絲繩聯軸器為例,求出了這類強非線性系統主共振解和次諧共振存在的條件,為避免共振提供了理論依據。
4.用頻閃一諧波平衡法和數字仿真比較表明,求得的共振解在定性方面是正確的,在定最方面精度可以滿足工程要求。