鋼絲繩彈悸聯軸器大位移振動試驗研究
2-1 引言
本章要進行式驗研究的鋼絲繩悸聯軸器主要由內套、外套和六個鋼絲繩彈性元件構件相連接組成,結構簡圖如圖2-1所示,其中鋼絲繩彈性元件構件如圖2-2所示,它由絞合的不銹鋼鋼絲繩繞成的橢圓形正反向螺旋鋼絲繩圈和上下夾持板組成,橢圓形螺旋形螺旋式鋼絲繩繩圈之間的螺距相等。彈性元件在彈性聯軸器中沿軸向Y均勻排列,X為聯軸器切向,Z為聯聯軸器徑向。彈性聯軸器靜態徑向最大位移為±10毫米,平均剛度為:
KZ=1.77×106N/m (2-1)
本試驗的目的主要有以下幾個,一是研究聯軸器恢復力與振動頻率和振幅的關系,為聯軸器數學建模與參數辨識進行數據和理論準備,二是觀察在大位移振動時,聯軸器及彈性元件構件結構的變化,驗證聯軸器結構和彈性元件是否能在設計范圍內正常工作,為今后設計聯軸器積累實踐經驗。
我們選用正弦激勵信號,頻率變化范圍選為l-30Hz,振幅變化范圍為±(l-8)毫米。試驗時,測量每一特定頻率、振幅下的加速度、速度、位移和力的振動信號,為了保證有足夠大的激勵力在不同頻率下使聯軸器達到穩態周期大位移振動,選擇適當的激勵設備至關重要。
常用的激振設備是激振器或振動臺。由BK產品目錄可知4810,4809,4808和480lT,4801S,4802T,4802S等系列的激振器均不能滿足上述要求,因此試圖考慮用D350電動振動臺來激勵彈性聯軸器。
2-2 D350電動振動臺一聯軸器系統振動試驗的數字仿真
D350電動振動臺的基本參數:最大振幅±12毫米(空載),頻率范圍5Hz-3000Hz,最大推力350公斤。
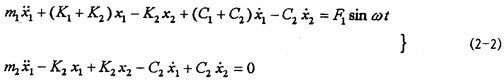
電動振動臺一聯軸器試驗系統可表示為一個兩自由度系統,振動微分方程為:
對應的力學模型如圖2-3(見22頁)所示,式中m1為振動臺動圈、聯軸器外套及固定在振動臺上夾具的質量;m2為聯軸器內套、芯軸及配重的質量;K1為振動臺支撐動圈部分的剛度系數,K2為聯軸器彈性元件的剛度系數;C1為振動臺動圈阻尼系數;C2為聯軸器
鋼絲繩元件等效粘性阻尼系數。振動臺給出的是正弦激勵。
在確定(2-2)式中有關參數時,我們采用實側方法,試驗時所用儀器為:1.BK4370加速度傳感器;2.BK25ll振動側量義;3.BK1027信號發生器;4.D350電動振動臺及功率放大器。
振動臺剛度系數實測用靜位移法,其測量步驟是首先將振動臺面打氣調平,加一重物Wi,用百分表測得臺面下沈靜變形δi,算得對應的剛度系數Ki=Wi/δi,如此反復加十塊重物,算得十個對應的剛度系數,由此可得振動臺的平均剛度系數K1。
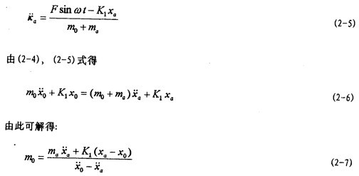
實測動圈質量m0時,置振動臺動圈推力一定值F,空載測得振動臺動圈質量m0的加速度 和位移,此時,將D350電動振動臺考慮為一個單自由系統,運動生分方程為(由于振動臺動圈阻尼一般較小,故不考慮C1的作用):
然后,在振動臺上加一質量ma,測得動圈加速度 和位移xa,維持推力不變,此時,加速度可表示為:
然后取下質量ma,維持推力不變,在振動臺上另加一質量mb,重復以上試驗,由式(2-7)算得m0,將兩次試驗所得m0取平均值,得到圈質量。
彈性聯軸器鋼彈性元件的阻尼系數用一個等效粘性阻尼系數代替,根據一個振動周期內非粘性阻尼和等效性阻尼消耗的能量相等原則來計算。從彈性聯軸器靜態試驗所得的遲滯回線可得聯軸器徑向等效粘性阻尼系數為:
CeZ=330/πω (N·S/mm) (2-8)
在進行彈性聯軸器一電動振動臺系統的計算機數字仿真振動試驗時,內套及芯軸質量一定,
配重重最在0~20公斤范圍內變化,以保證試件總重量不超過振動臺50公斤承重能力的限制。由于電動振動臺動圈的阻尼很小,因此在仿真計算時取動圈的振動阻尼C1為零,激勵力的頻率變化范圍為5Hz~2KHz。
分析振動試驗的計算機仿真計算結果后可以得出以下結論:1.當配重一定時,隨著撇勵頻率的增加,m1與m2之間的相對位移由大變小(配重等于3公斤的情況除外)逐步趨于零;當頻率等于310Hz以后,相對位移幅值等于零。2.當頻率為5Hz時,隨著配重的增加,相對位移增加,但即使配重達20公斤極限時,相對位移幅值僅為0.2048毫米,遠不能滿足8毫米的要。3.當頻率為1OHz時,相對位移幅值開始趨于相等,而不隨配重重量變化而變化,隨著頻率的進一步增大,相對位移幅值完全相等,變化規律見圖2-4所示.由此可見D350電動振動臺的基本參數范圍內,加不同的配重均不能使聯軸器振動系統滿足試驗要求(即振幅應為±(8-10)毫米)。
2-3 MTS材料試驗機振動試驗功能的開發及聯軸器大位移振動試驗
由于常規的激勵方式無法滿足鋼絲繩聯軸器振動試驗的要求,我們不得不另辟途徑。MTS材料試驗機一般用于材料的應力應變、強度以及疲勞試驗,其位移一般不超過1毫米,但此材料試驗機具有往復運動的功能,因此嘗試利用它作為激振器,對大撓度彈性聯軸器進行振動試驗,試驗系統如圖2-5所示。MTS試驗機主要由機架、上下夾頭、油缸活塞和控制器等組成。控制器能精確地控制試驗機上下夾頭往復運動的頻率、振幅和振動位移的波形。彈性聯軸器由我們專門設計的夾具與MTS試驗機的上下夾頭相連接,夾具保證聯軸器在徑向振動時,所受拉壓力的作用線與彈性聯軸器在受力方向上的對稱幾何中心線重合。
正弦位移激勵頻率和振幅由MTS控制器編程控制。正弦位移激勵頻率的變化范圍為IHZ到3OHz,振幅的變化范圍為±1毫米至±8毫米,振動的位移、速度和加速度分別用三個加速度傳感器進行測量,同時用MTS試驗機自帶的位移傳感器和力傳感器測量振動位移和力的信號。前三路信號經電荷放大器后輸人磁帶記錄儀,后兩路信號由MTS控制器中自帶放大器再輸出到磁帶機記錄,同時榆到雙線示波器以供監視。
2-4測試信號的處理和分析
信號處理時,將磁帶記錄儀記錄的五路振動信號經磁帶記錄儀回放,愉出到數據采集板(A/D板)進行五路振動信號(恢復力、位移、速度、加速度信號)同步采樣和A/D轉換,然后輸出到PC386微機存人磁盤,該數據采集系統采集的數據都是以二進制形式存儲的文件。為了計算和閱讀方便,需將二進制數據文件轉換成ASC碼文件,然后再編程進行數據處理.對處理后形成的數據文件進行作圖可以形成許多相應的曲線圖,圖2-6至圖2-13是眾多曲線中的一部分。

圖2-6表示激振頻率為4Hz,振動位移幅值為±5毫米的位移和恢復力的時間歷程曲線圖,由圖可知,位移時間歷程為正弦波形,對應的恢復力時間歷程為近似的鋸齒波形。以位移為橫坐標,恢復力為縱坐標,圖2-6對應的位移恢復力圖為圖2-7,由此圖可知彈性聯軸器具有非線性遲滯特性。在動態情況下,由于機座的高頻振動和環境干擾等因素,試驗記錄的信號中有高頻成分存在,這使得遲滯回線不光滑,加低通數字濾波后可得光滑的遲滯回線,如圖2-8所示。
圖2-9(見26頁)表示激振頻率為1OHz,振動位移幅值為±2毫米的位移和恢復力時間歷程圖,圖2-10(見26頁)、圖2-11(見27頁)為對應的遲滯回線圖。圖2-l2(見27、28頁)表示激振頻率為IHz,振動位移幅值分別為±(1-8)毫米的位移一恢復力圖,圖2-14(見29頁)則為圖2-12的合圖,由圖2-14同頻率不同振幅的八條遲滯回線分析可知,大撓度剛絲繩彈性聯軸器的動剛度與振動幅值有關,同時,從遲滯回線面積(表示聯軸器阻尼所耗散的能量)可知聯軸器的阻尼與振動幅值也有關,即聯軸器的動剛度和阻尼均是振幅的非線性函數。
圖2-13(見28、29頁)表示振幅為l毫米,激振頻率分別為2,3,4,6,8,10Hz的遲滯回線圖,圖2-15(見29頁)表示振幅為1毫米,激振頻率為1,2,3,4,6,8,10,20,30Hz的遲滯回線合圖。由圖2-15可知,彈性聯軸器的動剛度與振動頻率有關,即隨著頻率增大,對應的遲滯回線的恢復力與位移的比值變小,當頻率在8Hz至30Hz范圍內時,遲滯回線基本重合,由此可知鋼絲繩聯軸器動剛度在一定頻率范圍內與頻率有關、當頻率增大到8Hz以后,聯軸器的動剛度不再隨頻率變化而變化,因而聯軸器的動剛度在一定頻率范圍內是頻率的非線性函數,當頻率增大到一定值后,動剛度與頻率無關。同樣,聯軸器的阻尼在一定頻率范圍內是頻率的非線性函數,當頻率增大到一定值后(這里是8Hz),阻尼與頻率無關。
2-5小結
通過對鋼絲繩彈性聯軸器的振動試驗、信號處理和分析,可以得到以下結論:
1.開發MTS材料試驗機對大撓度彈性聯軸器進行大位移振動試驗是可行的,解決了激振器或振動臺不能同時滿足大位移、頻率和激振力達到一定要求的難題,為大位移振動試驗開辟了新的途徑。
2.鋼絲繩彈性聯軸器能產生動態大位移,具有補償主機在運行中出現大位移的能力。聯軸器及鋼絲繩彈性元件能在設計范圍內正常工作,但有的彈性元件出現鋼絲斷絲現象,夾持板在低頻大位移振動時變形較大,因此有必要對彈性元件的聯接方式進行改進。
3.鋼絲繩彈性聯軸器的恢復力具有非線性遲滯特性,在大位移振動情況下表現出動剛度非線性和阻尼非線性的特性,聯軸器的動剛度是振動幅值和頻率的非線性函數,但當頻率增大到一定值后,動剛度僅為振幅的非線性函數。同樣,聯軸器的阻尼在一定頻率范圍內是振幅和頻舞的非線性函數,但當頻率增大至一定值后,阻尼僅是振幅的非線性函數。因此大撓度彈性聯軸器的本構關系是一非線性泛函。
4.以上研究成果為聯軸器恢復力數學模型的建立、參數辨識提供了依據和準備了數據。