產品設計與關鍵部件的設計
【本章摘要】本章依據最新齒輪設計標準:GB/T3480-1996,從可靠性理論和安全系數的角度,對齒輪嚙合的齒面接觸強度核算、齒輪彎曲強度核算和齒輪靜強度的核算進行了詳細分析。同時對多級齒輪傳動系統的方案設計的選擇原則、多級傳動系統中傳動比的分配方法等進行了研究。
3.1減速機產品整體設計
減速機,作為一個完整的傳動系統,其設計包括:齒輪設計,傳動軸設計,軸承設計,機箱設計以及連軸器設計,如圖3-1所示。

在圖3-1中,傳動軸設計依賴于傳動功率、傳動轉速以及齒輪設計;軸承設計依賴于齒輪設計、傳動功率、傳動轉速以及傳動軸設計;機箱設計依賴于齒輪設計和傳動軸設計;連軸器設計傳動軸設計和傳動功率。
由此可以看出,齒輪設計是整個設計中最關鍵、最復雜的部分,只要齒輪設計完畢,其它零件設計可以通過系列化產品直接進行選擇。齒輪設計的好壞將最終決定減速機設計的水平。
3.2齒輪設計
齒輪的設計分為二大步:1、各分傳動系統的傳動比的分配。2、齒輪嚙合的設計。
傳動系統的傳動比的分配是個優化的過程,一個適宜的傳動比能協調各分傳動系統的傳動效果,達到資源利用最合理化。
齒輪嚙合的設計的強度核算包括齒面接觸強度核算和齒根彎曲強度核算。其核心思想是要求受力強度最大的部位滿足強度核算。
強度核算的過程如圖3-2所示:

用戶參數:
a、電機功率
b、電機轉速
c、輸出轉速
d、載荷狀態
e、安全系數
f、小齒輪的支撐位置
g、攪拌料的狀態
h、齒輪的工作壽命
齒輪特性參數:
a、齒輪的材料
b、齒輪的精度
c、齒輪的齒數
d、齒輪的類型
齒輪設計參數:
a、修正載荷系數(KA、Kv、KHβ、KFβ、KHa、KFa)
b、修正計算應力的系數(ZH、ZE、Zε、Zβ、Zβ、ZD、YF、Ys、Yε、Yβ)
c、輪齒疲勞強度及其修正系數(ZNT、YNT、ZL、Zv、ZR、Zx、Yx、Yδreit、YRreIT)在這三類參數中,用戶參數是要由用戶給定,齒輪特性參數是要得到的結果,齒輪設計參數是一種中間描述參數,它需要通過一系列的復雜的計算求解,而齒輪設計的科學性也就是通過對齒輪設計參數的精確確定而實現的,具體計算機實現公式見3.6-3.8;齒輪的接觸強度與彎曲強度校核分別見3.3和3.4。系統的參數初始輸入界面見圖3-3。

3.3齒面接觸強度核算
國標GB/T3480-1996把赫茲應力作為齒面接觸應力的計算基礎,并用來評價接觸強度。赫茲應力是齒面間應力的主要指標,但不是產生點蝕的唯一原因。例如在應力計算中未考慮滑動的大小和方向、摩擦系數及潤滑狀態等,這些都會影響齒面的實際接觸應力。
齒面接觸強度核算時,取節點和單對齒嚙合區內界點的接觸應力中的較大值,小輪和大輪的許用接觸應力σHP要分別計算。下列公式適用于端面重合度εa<2.5的齒輪副。
1、強度條件
大、小輪在節點和單對齒嚙合區內界點處的計算接觸應力中的較大值σH,均應不大于其相應的許用接觸應力σHP,即:
σH≤σHP (1)
2、計算接觸應力σH
小輪和大輪的計算接觸應力σH1、σH2分別按下述兩式確定:

上述兩式中:KA——使用系數
Kv一一動載系數
KHβ一一接觸強度計算的齒向載荷分布系數
KHa一一接觸強度計算的齒間載荷分配系數
ZB、ZD一一小輪及大輪單對齒嚙合系數
節點處計算接觸應力的基本值,N/mm2,用下式計算:

式中:F1一一端面內分度圓上的名義切向力
b一一工作齒寬,mm,指一對齒輪中的較小齒寬;
dl——小齒輪分度圓直徑,mm;
u一一齒數比,u=Z2/Z1,Z1,Z2分別為小輪和大輪的齒數;
ZH一一節點區域系數
ZE一一彈性系數
Zε一一重合度系數
Zβ一一螺旋角系數
式(4)中的“+”號用于外嚙合傳動;“一”號用于內嚙合傳動。
3、許用接觸應力σHP

上式中,σHc一一計算齒輪的接觸極限應力,N/mm2
σH1im一一試驗齒輪的接觸疲勞極限,N/mm2
ZNT一一接觸強度計算的壽命系數
ZL一一潤滑劑系數
ZV一一速度系數
ZR一一粗糙度系數
ZW一一工作硬化系數
ZX一一接觸強度計算的尺寸系數
3.4輪齒彎曲強度核算
本標準的輪齒彎曲強度計算式適用于齒根以內輪緣厚度不小于3.5m的圓柱齒輪。對于不符合前述條件的薄輪緣齒輪,應作進一步應力分析、實驗或根據經驗婁據確定其齒根應力的增大率。
l、強度條件
計算齒根應力σF應不大于許用齒根應力σFP,即:
σF≤σFP (7)
2、計算齒根應力σF
計算齒根應力σF由下式確定:
σF=σF0KAKVKFβKFa (8)
式口:KFβ一一彎曲強度計算的齒向載荷分布在系數
KFa一一彎曲強度計算的齒間載荷分配系數
σFO一一齒根應力的基本值,N/mm2,對于大、小齒輪應分別確定。
以單對齒嚙合區外界點為基礎進行計算的。齒根應力基本值可按下式確定:

式中:Ft——端面內分度圓上的名義切向力,N;
b-一工作齒寬(齒根圓處),mm。若大、小齒輪寬度不同時,最多把窄齒輪的齒寬加上一個模數作為寬齒輪的工作齒寬;對于雙斜齒或人字齒輪b=bB×2,bB為單個斜齒輪寬度;如有齒端修薄或鼓形修整,b應取比實際齒寬較小的值;
mn一一法向模數,mm
YF一一載荷作用于單對齒嚙合區外界點時的齒形系數
YS一一載荷作用于單對齒嚙合區外界點時的應力修正系數
Yβ一一螺旋角系數
3、許用齒根應力σFP
大、小齒輪的許用齒根應力要分別確定。在采用以試驗齒輪的強度為依據所得到的數據時,
其許用齒根應力可按下式確定:

式中:σFG一一計算齒輪的彎曲極限應力,N/mm2;
σFlim一一試驗齒輪的齒根彎曲疲勞極限,N/mm2
YST一一試驗齒輪的應力修正系數,
YNT一一彎曲強度計算的壽命系數
SFmin一一彎曲強度的最小安全系數
YrelT一一相對齒根圓角敏感系數
YRrelY一一相對齒根表面狀況系數
YX——彎曲強度計算的尺寸系數
3.5名義切向力Ft
一般齒輪傳動的名義切向力由齒輪傳遞的名義功率或轉矩確定。名義切向力作用于端面內并切于分度圓,可按下式計算:
Ft=
(12)
式中:Ft一名義切向力,N;
d一齒輪分度圓直徑,mm;
T一名義轉矩,N.m。
當傳遞的
名義功率P以KW計時,
T=9549· (13)
當傳遞的名義功率P以PS計時,
T=7024·
(14)
n—齒輪轉速,r/min。
3.6修正載荷系數
1、使用系數KA
使用系數KA是考慮由于齒輪嚙合外部因索引起附加動載荷影響的系數。這種外部附加動載荷取決于原動機和從動機的特性、軸和聯軸器系統的質量和剛度以及運行狀態。取值如下表:
表1 使用系數KA
|
原動機工作特性 |
工作機工作特性 |
|
均勻平穩 |
輕微沖擊 |
中等沖擊 |
嚴重沖擊 |
|
均勻平穩 |
1.00 |
1.25 |
1.50 |
1.75 |
|
輕微沖擊 |
1.10 |
1.35 |
1.60 |
1.82 |
|
中等沖擊 |
1.25 |
1.50 |
1.75 |
2.0 |
|
嚴重沖擊 |
1.50 |
1.75 |
2.0 |
2.25或更大 |
|
注:1對于增速傳動,根據經驗建議取上表值的1.1倍。
2當外部機械與齒輪裝置之不理之間撓性聯接時,通常KA值可適當減小。 |
2、動載系數KV
動載系數KV是考慮齒輪制造精度、運轉速度對輪齒內部附加動載荷影響的系數,定義為:
KV=
a、高精度齒輪
傳動精度系數C<5的高精度齒輪,在良好的安裝和對中精度以及合適的潤滑條件下,KVr的值取1.1。
b、其他齒輪
其他齒輪的符合下述條件時,KV值可由式(22)計算。適用的重要依據是:
(1)法向模數mn=1.25~50mm
(2)齒數z=6至120(當mn>8.33mm時,用
取代1200)
(3)傳動精度系數C=6~12,C的計算見式(25)
(4)齒輪節線速度V不超過VmaX

式(15)中:
A=50+56(1.0-B) (17)
B=0.25(C-0.5)0.667 (18)
C=-0.50481n(z)-1.1441n(mn)+2.8521n(fpt)+0.32 (19)
式(19)計算的C值應作圓整,C=6~12;
Z——大、小輪中計得得C值大者的齒數;
mn——法向模數的值;
fpt——大、小輪中最大的單個齒距偏差的值。
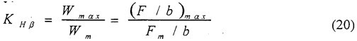
3、齒向載荷分布系數KHβ,KFβ
a、KHβ的定義
齒向載荷分布系數KHβ是考慮沿齒寬方向載荷分布不均勻對齒面接觸應力影響的系數,其定義為:

式中:Wmax——單位齒寬最大載荷,N/mm;
Wm——單位齒寬平均載荷,N/mm;
Fm——圓上平均計算切向力,N。Fm=FtKAKV

式中:b——齒寬,mm。對人字齒傳輸線或雙斜齒輪,應取兩個斜齒輪寬度之和。
b、KFβ的計算公式
齒向載分布系數KFβ是考慮沿 寬載荷分布對齒根彎曲應力的影響。對于所有的實際應用范圍,KFβ可按下式計算:
KFβ=(KHβ)N (22)
式中:KHβ接觸強度計算的齒向虎荷分布系數
N——冪指數。

其中:b——齒寬,mm。對人字齒或及雙斜齒齒輪,用單個斜齒輪的函寬;
h——齒高,mm。
b/h應取大小齒輪中的小值。
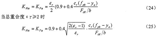
4、齒間載荷分配系數KHa、KFa
齒間載荷分配系數是考慮同時嚙合的各對輪齒間載荷分配不均勻影響的系數。齒間載荷分配系數按下式確定。

3.7修正計算應力的系數
1、計算接觸應力的系數
a、節點區域系數ZH
節點區域系數ZH是考慮節點處齒廓曲率對接觸應力的影響,并將分度圓上切向力折算為節圓上法向力的系數。ZH數值可由式(26)計算得出。

b、彈性系數ZE
彈性系數ZE是用以考慮霉爛彈性模量E和泊桑比v對赫茲應力的影響。其數值可按實際材料彈性模量E和泊桑比v由式(30)計算得出。

c、重合度系數Zε
重合度系數Zε是用以考慮重合度對單位齒寬載荷的影響。Zε可由式(33)、(34)、(35)計算得出。
直齒輪:

斜齒輪:

εa計算式中,符號“±”和“+”,上面的用于外嚙合傳動,下面的用于內嚙合傳動;
εβ計算式中,當大小齒輪的齒寬b不一樣時,采用其中較小值。對人字齒,b=2bB,bB為單個斜齒寬度。
d、螺旋角系數Zβ
螺旋角系數Zβ是考慮螺旋角造成的接觸線傾斜對接觸應力影響的的系數。Zβ數值可由式
(38)計算。
Zβ= (38)
e、單對齒嚙合系數ZB、ZD
ZB是把節點處的接觸應力折算到小輪單對嚙合區內界點處的接觸應力的系數;ZD則是把節點處的接觸應力折算到大輪單對齒嚙合區內界點處的接觸應力的系靈敏。ZB和ZD可由下述的計算得到:
端面重合度εa<2的外嚙合齒輪

式中da1(da2)、db1(db2)、Z1(Z2)分別為小輪(大輪)的齒頂圓,基圓直徑和齒數;a1為端面分度圓嚙合角,見式(29),εa為端面重合度,見式(36)。
直齒輪:
當M1>1時,Za=M1;當M1≤1時,ZB=l。
當M2>1時,ZD=M2;當M2≤l時,ZD=1。
斜齒輪:
當縱向重合度εβ≥1.0時,ZB=1,ZD=1。
當縱向重合度εβ<1.0,ZB,ZD由式(41),式(42)確定。
ZB=M1-εβ(M2-1) (4l)
當ZB<1時,取ZB=l
當ZD<1時,取ZD=1
ZD=M2-εβ(M2-1) (42)
對內嚙合齒輪,取ZB=1,ZD=1。
2、計算彎曲應力的系數
a、齒形系數YF和應力修正系數Ys
斷形系數是用以考慮齒形對名義彎曲應力的影響,以過齒廓根部左右兩過渡曲線與30°切線相切點的截面作為危險截面進行計算。
應力修正系數是將名義彎曲應力換算成齒根局部應力的系數。它考慮了齒根過渡曲線處的應力集中效應,以及彎曲應力以外的其他應力對齒根應力的影響。應力修正系數不僅取決于齒根過渡曲線的曲率,還和載荷作用點的位置有關。
b、彎曲強度計算的重合度系數Yε
重合度系數Yε是將載荷由齒頂轉換到單對齒嚙合區外界點的系數。
Yε的計算見
下式:
Yε=0.25+ (43)
式中
-當量齒輪的端面重合度。
= /cos2βb (44)
c、彎曲強度計算的螺旋角系數Yβ
螺旋角系數Yβ是考慮螺旋角造成的接觸線傾斜對齒根應力產生影響的系數。其數值可以通過式(45)和(46)計算。

上式中,當εβ>1,取εβ=1,當Yβ>0.75,取Yβ=0.75;當β>30°時,取β=30°。
3.8輪齒疲勞強度及其修正系數
1、試驗齒輪的疲勞極限σHlim、σFlim
σHlim和σFlim是指某種材料的齒輪經長期持續的重復載荷作用后輪齒保持不失效時的極限應力。其主要影響因素有:材料成分,力學性能,熱處理及硬化層濃度、硬度梯度,結構(鍛、軋、鑄),殘余應力,材料的純度和缺陷等。
σHlim是指某種材料的齒輪經長期持續的重復載荷作用(對大多數材料其應力循環數為5×10)后,齒面不出現進展性點蝕時的極限應力。
σF1im是指某種材料的齒輪經長期的重復載荷作用(對大多數材料其應力循環數為3×l06)后,齒根保持不破壞時的極限應力。
2、壽命系數ZNT,YNT
壽命系數ZNT和YNT分別考慮齒輪壽命小于或大于持久壽命條件循環次數Nc時,其可隨的接觸應力和彎曲應力值與其相應的條件循環次數Nc時疲勞極限應力的比例的系數。
3、潤滑油膜影響系數ZL、ZV、ZR
確定潤滑油膜影響系數數值的理想方法是總結現場使用經驗或用具有可類比的尺寸、材料、潤滑劑及運行條件的齒輪箱實驗。當采用與設計的齒輪完全相同的參數、材料和條件實驗決定其承載能力或壽命系數時,應取潤滑油膜影響系數ZL、ZV、ZR的值均等于l.0。
對持久強度設計,ZL、ZV、ZR可由公式(53)、(55)、(57)分別計算。對靜強度,取ZL=ZV=ZR的值均等于1.0。
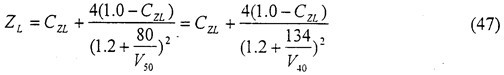
a、潤滑劑系數ZL

其中,在850N/mm2≤σH1im≤1200N/mm2范圍內,CZL可由式(47)算得。當σH1im<850N/mm2時取CZL=0.83;當σHlim>1200N/mm2時取CZL=0.91

V50-在50℃時潤滑油的名義運動粘度,mm2/s(cSt)
V40-在40℃時潤滑油的名義運動精度,mm2/s(cSt)
式(47)、(48)在應用某些具有較小磨擦系數的合成油時,對于滲碳鋼齒輪ZL應乘以系數1.1,對于調質鋼齒輪應乘以系數1.4。
ZL對靜強度幾乎沒有影響,因此靜強度計算時可取ZL=1.0。
b、速度系數ZV

其中,在850N/mm2≤σHlim≤1200N/mm2范圍內,CZL可由式(50)算得。當σHlim<850N/mm2時以850N/mm2時以850N/mm2時以850N/mm2計,當σHlim>1200N/mm2計。
CZV=0.85+0.08
(50)
v-節點線速度
ZV對靜強度幾乎沒有影響,因此靜強度計算時可取ZV=1.0
b、粗糙度系數ZR
當所計算的齒輪要求持久壽命時,ZR可由式(51)計算得出,

式中:CZR系數。當時σH1im<850N/mm2時,CZR=0.15;當σHlim >1200N/mm2時,CZR=0.08在850N/mm2≤σHlim ≤1200N/mm2范圍內,CZR可由式(52)算得。
CZR=0.32-0.0002σHlim (52)
RZ10-相對(峰一谷)平均粗糙度。

RZ1,RZ2一小齒輪及大齒輪的齒面微觀不平度10點高度,μm
pred一節點處誘導曲率半徑,mm;pred=p1p2/(p1±p2)。式中“+”用于外嚙合,“一”用于內嚙合,p1,p2分別為小輪及大輪節點處曲率半徑。
ZR對靜強度幾乎沒有影響,因此靜強度計算時可取ZR=1.0
d、齒面工作硬化系數ZW
工作硬化系數ZW是用以考慮經光整加工的硬齒面小齒輪在運轉過程中對調質綱大齒輪齒面產生冷作硬化,從而使大齒輪的許用接觸應力得以提高的系數。齒面取載能力的提高還和其它許多因素有關,如材料中的合金元素、赫茲應力、硬化過程、表面粗糙度等。ZW值可由式(54)計算得出。此公式的使用條件為:小齒輪齒面微觀不平度10點高度RZ<
6μm,大齒輪齒面硬度為130~470HB。
ZW=1.2- (54)
式中HB為大輪齒面布氏硬度值。
當HB<130時,取ZW=1.2;當HB>470時,取ZW=1.0。
e、尺寸系數ZX、YX
尺寸系數ZX和YX是考慮因尺寸增大使材料強度降低的尺寸效應因素,分別月于接觸強度和彎曲強度計算。確定尺寸系數最理想的方法是通過實驗或經驗總結。當用與設計齒輪完全相同尺寸、材料和工藝的齒輪進行實驗得到齒面承載能力或壽命系數時,應取ZX或YX值為1.0。靜強度(NL≥NO)的ZX=YX=1.0。
6、相對齒根圓角敏感系數Yσreit
相對齒根圓角敏感系數Yσreit是考慮所計算齒輪的材料、幾何尺寸等對齒根應力的敏感度與試驗齒輪不同而引進的系數。定義為所計算齒輪的齒根圓角敏感系數與試驗齒輪的齒根圓角敏感系數的比值。
持久壽命時的相對齒根圓角敏感系數Yσreit可按式(55)計算得出。

式中:p’一材料滑移層厚度
Xm一
齒根危險截面處的應力梯度與最大應力的比值。其值可由下式確定:
Xm≈(1+2qs) (56)
qs一齒根圓角參數
一試驗齒輪齒根危險截機處的應力梯度與最大應力的比值,仍可用上式計算,式中qs取為qst=2.5此式適用于M=5mm,其尺寸的影響用YX來考慮。
7、相對齒根表面狀況系數YRrelT
相對齒根表面狀況系數YRrelT為所計算齒輪的齒根表面狀況系數與試驗齒輪的齒根表面狀況系數的比值。持久壽命時的相對齒根表面狀況系數YRrelT可按可見參考資料1相應圖表中查出。
3.9多級齒輪傳動的設計
1、多級齒輪傳動系統的方案設計
減速機的方案設計就是根據設計要素(傳輸功率,傳動比,工作狀況、輸出轉速和輸出方向),對減速機的型號進行選擇。
一般原則如下:
(一)輸出軸的方向是水平方向,選用臥式減速機。
(二)傳動比很大,選用多級減速機或蝸輪蝸桿減速機,但前者較便宜。
(三)工作狀況要求高的(例如振動和噪音等),優先選用斜齒輪傳動。
(四)如果傳動比特別大,輸出轉速很小,可選用行星齒輪傳動
(五)如果齒輪材料不是很好,可以選用斜齒輪傳動。
2、減速器傳動比的分配
在設計一級或多級減速器時,合理地將傳動比分配到各級非常重要。因它直接影響減速器的尺寸、重量、潤滑方式和維護等。
分配傳動比的基本原則是:
(一)使各級傳動的承載能力接近相等(一般指齒面接觸強度)。
(二)使各級傳動的大齒輪浸入油中的深度大致相等,以使潤滑簡便。
(三)使減速器獲得最小的外形尺寸和重量。
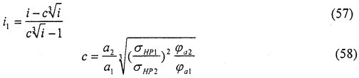
a、二級圓柱齒輪減速器按齒面接觸強度相等及較有利的潤滑條件,可按下面關系分配傳動比,高速級的傳動比i1為

式中i—總傳動比
a1、a2—高速級、低速級齒輪傳動的中心距
σHP1、σHP2—高速級、低速級齒輪接觸強度的許用應力
—高速級、低速級齒輪的齒寬系數
二級臥式圓柱齒輪 減速器,按高速級和低速級的大齒輪浸入油中的深度大致相等的原則,傳動比的分配,可按下述經驗數據和經驗公式進行:
對于展開式和分流式減速器,由于中心距al<a2,所以常使i1>i2。
對于同軸式減速器,由于a1=a2,所以常使i1=i2,或按下式計算,使浸油深度相等。
i1=
(0.01-0.05)i (59)
b、二級圓錐一圓柱齒輪減速器對這種減速器的傳動比進行分配時,要盡量避免圓錐齒輪尺寸過大、制造困難,因而高速級圓錐齒輪的傳動比i1不宜太大,通常取11=0.25i,最好使i1≤3。當要求二級傳動大齒輪的浸油深度大致相等時,也可取i1=3.5-4。
c、二級渦輪減速器這類減速器,為滿足a1≈a2/2的要求,使高速級和低速級傳動浸油深度大致相等,通常取i1=i2=
。
3、多級傳動減速器的設計
依據上一節,得到各級的傳動比ia(a=1,2,3一般只用到三級傳動),再根據第二章的齒輪對的嚙合的設計與校核,設計每一級的齒輪對,需要注意下面幾個問題:
(1)盡管齒輪傳動的效率很高,但是在設計時,要考慮到它的損耗。
(2)設計每一級的齒輪對后,再從總的角度,各級齒輪的受力強度是否大致相同,一般允許偏差為5%,否則要重新設計,多次迭代,選擇最優值。
(3)對于斜齒輪、錐齒輪、渦輪蝸桿的設計,判斷軸的受力是否合理,如何正確布置它們的位置。
3.10齒輪設計實例
用戶參數:
電機功率:40KW
電機轉速:1500r/min
輸出轉速:100r/min
載荷狀態:均勻平穩
安全系數:彎曲強度安全系數-1.1;接觸強度安全系數-1.4
小齒輪的支撐位置:不對稱布置
攪拌料的狀態:均勻密度
齒輪的工作壽命:10年*300天*2班*8小對
選用傳動方式:斜齒輪二級減速傳動。
粗選齒輪特性參數:
材料:小齒輪-3OCrMOA1A調質后氮化;大齒輪一42CrMo調質后氮化
精度:8級精度
齒輪類型:螺旋角為11.48°的調質斜齒輪
初步選擇小齒輪的齒數:一級傳動-14;二級傳動-16
設計校核后的結果:
一級傳動:
傳動比:3.68;模數:5
小齒輪齒數:14;節圓半徑:81.63mm;變位系數:0.13;齒寬:95mm
大齒輪齒數:59;節圓半徑:301.0mm;變位系數:O;齒寬:90mm
理論中心距:191.3mm;實際中心距:192mm
小齒輪齒根彎曲強度(Mpa):實際67.78<許用574.39 合格
小齒輪齒面接觸強度(Mpa):實際588.12<許用634.87 合格
大齒輪齒根彎曲強度(Mpa):實際55.43<許用647.03 合格
大齒輪齒面接觸強度(Mpa):實際588.12<許用646.99 合格
二級傳動:
傳動比:4.07;模數:8
小齒輪齒數:15;節圓半徑:122.4mm;變位系數:0.22;齒寬:140mm
大齒輪齒數:61;節圓半徑:497.9.0mm;變位系數:O;齒寬:135mm
理論中心距:310.2mm:實際中心距:312mm
小齒輪齒根彎曲強度(Mpa):實際67.78<許用574.39 合格
小齒輪齒面接觸強度(Mpa):實際588.12<許用634.87 合格
大齒輪齒根彎曲強度(Mpa):實際55.43<許用647.03 合格
大齒輪齒面接觸強度(Mpa):實際585.12<許用646.99 合格
一級齒輪的最大接觸強度:588.12Mpa;二級齒輪的最大接觸強度:589.4Mpa
(589.4-588.12)/588.12=0.0022<0.05 設計正確合理。
實現界面見圖3-4。

在系列化產品CAD系統中,完成了設計計算后,將設計計算的結果傳送到智能化CAD系統中,利用CAD參數化功能,快速實現工程圖線的繪。