韌性減速機理與相關數值模擬
上一章討論了穩態擴展前提下的輸氣管道動態斷裂有限元計算。之所以很多研究把穩態擴展作為前提,并曾在相當長的時間內采用Kalininen估算管道極限裂紋擴展速度的(2-6a)式計算裂紋穩態擴展速度,是因為高壓輸送興起以來,人們曾長期認為材料的抗力遠遠不足以抵御高壓氣體逸出引起的裂紋驅動力,裂紋不斷被加速驅動,直至擴展速度達到了接近于極限速度的穩態值。這確實符合早期動態脆性斷裂的觀測結果。
隨著冶金技術水平的提高,管材的性能發生了較大的變化。與此同時,管線的設計壓力也有了大的提高。原有的動態脆性斷裂幾乎不再發生。新的動態延性斷裂乃至高壓高韌性斷裂能夠導致斷裂速度接近于極限,并形成穩態擴展嗎?這個穩態擴展的前提值得懷疑。
3.1從韌性變化看鋼制管道動態斷裂
在天然氣管線裂紋止裂研究的歷史上,對管線斷裂現象認識有一個提高的過程。在管線建設的早期,由于當時冶金水平的局限,管材的韌性水平較低,韌脆轉化溫度DBTT(Ductile-to-Brittle Transition Temperature)較高,發生了很多管線的脆性斷裂事故。防止脆性斷裂的發生是人們的主要研究課題。管線的工作溫度在管線鋼的DBTT以下時,動態斷裂呈現宏觀脆性斷裂的特征,即其橫縱向斷口都為平直的只有很少剪切唇或完全沒有剪切唇的脆性斷口。這種動態脆性斷裂(DBF)沿著管道的對稱面發展,如圖3-1a所示。
為了防止管線脆性斷裂事故的發生,人們進行了大量的研究工作,提出了用管材的夏比沖擊韌性值和落錘撕裂實驗(DWTT)的斷口形貌轉化溫度作為判定管線是否發生脆性斷裂的依據。
此后鋪設的管線采用了DBTT低于管線工作溫度的鋼材,用高壓多次加壓檢測可能會產生的缺陷,改進老管線的操作條件等多種措施。實踐表明,這些措施較為可靠,基本解決了動態脆性斷裂的問題。
20世紀70年代以來,隨著純凈鋼、連鑄板坯及低碳微合金化鋼板控軋技術的發展,管材的韌性得到飛躍性的提高。隨后又引入了計算機自動控制技術和多探頭的無損探傷技術等,能夠保證超高壓運行的高韌性管道得以實現。近年來,超純凈鋼的出現為直焊縫管的發展提供了原材料方面更大的支持,加上整體熱處理、熱張力減徑等原用于無縫管軋制的技術引用于直焊縫管生產,其產品向高等級、多元化方向發展,其性能己等同或超過無縫管。
在管道用鋼韌性性能大幅度上升的背景下,20世紀60年代,延性失穩斷裂事故首次在輸氣管線上出現。動態延性斷裂(DDF)在宏觀剪切面上擴展,與管道表面呈45度傾斜角,有很大的剪切唇,如圖3-lb和圖3-1c所示。雖然這種斷裂的環境溫度高于鋼材的韌脆轉化溫度,但由于鋼材的韌性相對于強度較低,還是使動態斷裂擴展先于顯著的塑性應變而發生。
圖3-2顯示了DBF和DDF的形貌特征。從圖中看出動態延性斷裂相比于脆性斷裂具有速度較低,裂紋擴展途徑比較單一,能自行止裂等特點。由于脆性斷裂已被廣泛遏止,近二十年來,人們把注意力主要集中在延性斷裂的起裂擴展和止裂上,對延性斷裂的關注遠超過對脆性斷裂的研究,目前還遠未結束。管線鋼動態斷裂韌性的測定也就成為了人們關注的焦點。
3.2全尺寸實驗中出現的減速現象
為了清楚地闡述在國外高韌性輸氣鋼管的全尺寸爆破實驗中觀測到的由材料韌性引起的裂紋持續減速現象,有必要先對全尺寸實驗的方法作較為細致的描述。本節的數據還會用作第四章小試樣實驗和本章的韌性減速計算的比較。
說到全尺寸實驗,就不能不提憑借全尺寸實驗數據進行止裂預測的Maxey雙曲線法。下面我們就從Maxey雙曲線法開始對全尺寸實驗中得到的結果以及遇到的問題做歸納性的陳述,同時引出本文的發現和觀點。
3.2.1Maxey雙曲線方法
在延性斷裂的止裂研究中,人們一直試圖確定材料的韌性值達到多大,可以使管線具有足夠的止裂能力。由于全尺寸實驗相當昂貴,且結果僅對應于特定的天然氣成分、管道性能等因素,因此需要對實驗的特性進行定量化以用于動態延性斷裂止裂設計。關于止裂韌性臨界值的預判模型,國際上應用較多的是1975年BMI的Maxey等人建立的雙曲線(Two-Curve)方法。
雙曲線法的具體分析過程如圖3-3所示,坐標橫軸表示速度,縱軸表示氣體壓力或環向應力。上方的一組曲線表征不同韌性水平下的斷裂速度,是內壓或環向應力的函數。隨著內壓或環向應力在斷裂過程中的減小,斷裂速度不斷降低。如果壓力或應力足夠低,斷裂速度即減小到零而發生止裂。
下面的虛線與氣體減壓波速有關,它也是環向應力或管道內壓的函數。在減壓過程中,連續的減壓波沿管子傳播,對應于每個壓力有一個唯一的波擴展速度。因此在減壓波沿管線從開裂源傳播時在很寬的速度范圍內壓力是連續的。
根據管道動態斷裂擴展與止裂的減壓波速判據,當裂紋擴展速度低于管內介質的減壓波速度時,裂紋會停止擴展;當裂紋擴展速度高于管內介質的減壓波速時,不會發生止裂。
這種說法的依據是:對于前一種情況,從裂源處開始,減壓波前沿的移動速度比斷裂擴展速度更快,使得裂紋尖端的管壁應力因減壓波的通過而不斷減小,并最終降至止裂應力水平以下而使裂紋止裂;反之裂紋尖端的壓力不發生變化,斷裂將持續擴展,因為裂紋尖端的動態襲紋驅動力不會減小。
如果斷裂速度曲線和壓力波速曲線不相交,則在任何條件下減壓波速都大于斷裂速度。根據減壓波速判據,裂紋擴展將發生止裂。如果兩曲線相交或相切,則最少有一點壓力所對應的壓力波速和斷裂速度是相等的。這時管道將發生持續的裂紋擴展。因此,圖3-3中兩條曲線的切點對應于止裂所需的臨界韌性,切點處的橫坐標即為穩態擴展情況下的斷裂速度。
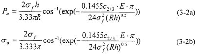
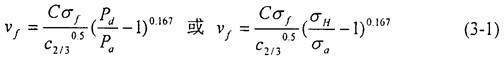
為了得到數值解答,Maxey的延性斷裂模型總結出了裂紋擴展速度和管內壓力(或環向應力)之間的經驗關系:
式中vf表示斷裂擴展速度(m/s);C是由經驗確定的回填常數;σf為流動應力,MPa,σf =(σy+σu)/2,σy為屈服應力,σu為拉伸強度:c2/3為2/3厚度試樣的夏比沖擊韌性值(J/mm2);Pd為裂尖處的氣體壓力(MPa);Pa為止裂時的氣體壓力(MPa);σH為裂尖處的環向應力(MPa);σa為止裂時的環向應力(MPa)。
式(3-l)中止裂壓力(環向應力)Pa(σa)有如下的計算關系式:
式中R為管道半徑(mm);E為彈性模量(MPa);h為管道壁厚(mm)。
這種雙曲線法的處理還被用于處理富氣輸送問題。乙烷等其它烷類氣體的混入引起了兩相減壓行為。在兩相狀態下,減壓波速曲線會在相變過程區產生平臺,表明相變阻礙了氣體從開裂的管道中逸出,使得裂紋止裂更加困難。
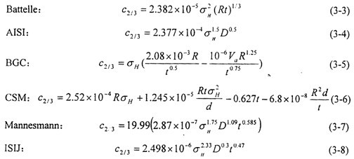
在雙曲線法的基礎上,結合大量的實驗結果對止裂韌性進行標定,世界各大研究機構分別給出了簡便易算的經驗公式用以估算臨界止裂韌性,列舉如下:
其中c2/3為估算的2/3尺寸單位面積夏比沖擊臨界止裂韌性(J/mm2);d為埋入深度(mm);其余符號的物理意義與單位與前面相同。
Maxey雙曲線法及導出的經驗公式的優點在于理論及算法比較簡單,易于工程應用,因而從20世紀70年代起被國際上廣泛采納,并通過了實驗的檢驗。
必須指出的是,這些經驗公式都是根據早期的低韌性全尺寸實驗(CVN能量小于100J)數據經常數標定而得出的,對于高韌性管線鋼,這些公式出現了明顯的偏差。隨著近年來管道鋼管材料特性的變化,材料強度及韌性的提高,以及高壓富氣輸送工藝的采用使已有的止裂預測公式偏于危險。
圖3-4表示了Battelle應用Maxey雙曲線法對全尺寸實驗數據庫所做的DDF止裂韌性預測,圖3-4a至圖3-4f分別對應于式(3-3)至式(3-8)。圖中顯示的實驗用管的鋼級包括X52到Xl00,管徑范圍從4O6mm到1422mm,實驗最高壓力超過16MPa。可見,預測模型在管材韌性低于某一水平時預測結果與實物實驗結果基本吻合,但當管材韌性較高時出現明顯偏差,預測應該止裂的管線沒有止裂。經典的止裂預測模型在預測夏比能量值高于94J的管材時,已經偏于危險,即過高估計了管材的止裂性能。
為了保留原有的經驗算法,1997年Leis認為保證該算法準確的臨界韌性值為94J,并對高韌性結果做了修正:
預測沖擊韌性CVN>94J時:CVN′=CVN+O.002CCVN2.04-21.18 (3-9)
預測止裂沖擊韌性CVN<-94J時因非線性影響不明顯而不做修正。
這種修正方法僅是一定范圍內根據真實實驗結果的近似歸納,并不能從趨勢上解決雙曲線法在描述高韌性淬火回火鋼時出現的偏差。其原因是高韌性鋼出現后,傳統的動態實驗手段引起與斷裂無關的顯著能量散失。
3.2.2全尺寸爆破實驗(Full-Scale Burst Test)簡介
全尺寸實驗的費用昂貴,周期長。實驗過程中要求系統地變化壓力、管徑、壁厚、強度以及韌性等變量,因此實驗操作難度大,重復次數多。國內做過水壓爆破實驗,高壓輸氣管道實驗尚無先例。目前已知的實驗數據來源有意大利CSM的鋼制管道實驗、美國西南研究院的PE管道實驗、加拿大一美國聯盟管道實驗和日本HLP組織實驗。
全尺寸爆破實驗一般設有一根有預制裂紋的低韌性鋼管在管段中部作為起裂管,兩側焊接鋼管的韌性沿裂紋擴展方向遞增排列。裂紋從起裂管向兩側擴展,停止擴展部位的鋼管韌性就是設定運行條件下的管線止裂所需的韌性。斷裂擴展速率在低韌性的起裂管開裂后測量。
全尺寸實驗使用甲烷、空氣或者氦氣作為壓力介質。實驗分為地上管線和埋地管線兩種。由于按照原來的止裂預測方法己經不能保證現代高強度高韌性管線的延性斷裂止裂性能,20世紀80年代美國天然氣協會AGA委托包括美國SwRI和意大利CSM在內的多家機構進行了合作研究,試圖得到一種理論上可靠,實驗證明可行的防止管線延性斷裂長程擴展的方法。
歐洲管線研究組織EPRG也在20世紀70年代進行的實物實驗的基礎上從1983年開始對高韌性的管線鋼管進行了大量的實物實驗,并于1995年公布了高強度管線鋼止裂韌性推薦值,1996年制定的1502183-3管線鋼管技術條件采用了EPRG的推薦值。1985年日本幾大鋼鐵公司聯合進行了一次較大規模的實物實驗,基于Maxey的雙曲線法對實驗結果進行了分析,得到了有價值的結論。
下面結合兩次大規模全尺寸實驗寶貴的完整數據對全尺寸實驗測試情況進行說明,其中真實斷裂速度與CVN韌性止裂預測是本文重點關注的對象。
3.2.1.1北美聯盟管道全尺寸爆破實驗
北美聯盟管道總投資30億美元,由6家公司合資興建,全長2627km,從加拿大的British Columbia到美國的Illinois,計劃2000年投入運營。該管道設計輸送能力為每天375×105m3,主干線設計最大輸送壓力為12MPa,管徑9l4mm;支線管徑1067mm,最大設計壓力為8.274MPa。
聯盟管道的設計在幾個方面都創造了新的世界水平:
高韌性管線鋼管——CVN沖擊韌性高于217J;
高的操作壓力——最大操作壓力12MPa;
富氣輸送——含15%乙烷,3%丙烷,天然氣最大熱值為44.2MJ/m3。
為了驗證聯盟管道Φ914和Φ1067鋼管的止裂韌性,進行了兩組全尺寸瀑破實驗,實驗管段全長約366m,中間為9根11m長的實驗樣管,爆破實驗時裂紋將在其中進行擴展。實驗樣管沿東西方向分別標為1E、2E以及1W、2W等,預制裂紋穿過1E和1W之間的環焊縫。第一次實驗的示意圖如圖3-5所示。
表3-l給出了各實驗管段的標準夏比沖擊功以及按照實驗工況用Maxey雙曲線法預測的止裂韌性數值。
表3-l聯盟管道爆破實驗夏比沖擊能量數值(單位:J)
|
鋼管編號 |
第一次實驗 |
第二次實驗 |
|
2W |
1W |
1E |
2E |
2W |
1W |
1E |
2E |
|
鋼管東端沖擊功 |
237 |
178 |
185 |
231 |
217 |
184 |
203 |
247 |
|
鋼管西端沖擊功 |
253 |
181 |
184 |
223 |
223 |
204 |
185 |
226 |
|
預測止裂沖擊功 |
195 |
223 |
第一次爆破實驗采用Φ914鋼管,壁厚14.2mm,鋼級X70,操作壓力12MPa,實驗溫度23.8℃,天然氣熱值為44.6MJ/m3。
通過炸藥爆破法,裂紋穿過1E和1W中間環裂縫,并在鋼管頂端開始擴展。第一次爆破實驗中實驗斷口均為韌性斷裂,在樣管1W中,裂紋沿軸向直線擴展,在樣管1E中,裂紋沿軸向直線擴展將近鋼管末端時,其擴展方向稍有傾斜,但在1W和1E中均未發生止裂。在1W樣管的末端,裂紋穿過環焊縫直接進入2W樣管中繼續直線擴展約2m后轉向并繞鋼管環向擴展一圈后止裂,環向的一圈裂紋將實驗管線分割成東西兩部分。在1E樣管的東端,在距離1E、2E環焊縫0.5m的地方,裂紋由軸向直線擴展轉化為撕裂型剪斷擴展,隨后擴展進入2E樣管(螺旋縫焊管)中,呈螺旋線沿2E樣管向前擴展,裂紋擴展方向垂直于樣管的螺旋焊縫,在裂紋螺旋狀前進約4.25圈后止裂。
第二次爆破實驗是為了模擬Φ1067鋼管的止裂過程,由于實驗設備不到位,最終仍采用功914鋼管,壁厚14.2mm,鋼級X70,操作壓力12MPa,實驗溫度16.5℃。通過雙曲線法判定止裂韌性與試圖模擬的鋼管相同。
實驗二的斷口均為剪切斷裂,裂紋擴展長度為33.6m。由于1W和1E沖擊功低于預測的止裂沖擊韌性,因而裂紋均沿1W和lE軸向直線擴展并分別進入2W和2E樣管,最后在2W和2E樣管中止裂,如圖3-6所示。

在2E樣管中,裂紋直線擴展約4.5m后開始轉彎沿螺旋線擴展。當遇到直焊縫后又產生一個二次裂紋,二次裂紋沿直焊縫擴展約1m后也開始轉向沿螺旋線擴展。當主裂紋第二次遇到直焊縫時,先沿直焊縫擴展lm多長然后轉向擴展并隨即止裂。
斷裂擴展全程將壓力傳感器采集的壓力數據與上述斷裂擴展速度繪制成壓力一速度曲線,根據Maxey雙曲線法做出了止裂韌性的預測。在考慮Leis修正(3-9式)的基礎上,該預測與實驗結果吻合良好。
3.2.1.2日本HLP組織實驗
1978年,日本鋼鐵學會(ISIJ)成立了高強度輸送管HLP(High-strength Line Pipe)專業研究委員會。該組織在1978-1983年間進行了七次全尺寸爆破實驗,其中五次在Kamaishi(釜石,編號A1、A2、A3、Bl、B2),兩次在BGC(英國天然氣公司,British Gas CoMPany,編號Cl、C2)。
實驗材料是經控軋(Controlled-Rolled)或調質(Quenched and Tempered)工藝制造的APIX70管,直徑1219mm,壁厚18.3mm。A和B系列實驗采用空氣作為壓縮氣體,實驗溫度在3℃到12℃之間。C系列實驗采用天然氣(富氣),實驗溫度為-5℃。實驗用管道氣壓除C2外均為11.6MPa,C2采用10.4MPa。
每段鋼管長約10m,每組實驗采用7段管材環縫焊接,并在每端焊上壁厚為26.67mm的蓄氣管,全長約150m。實驗管段置于地下l.3m深處,除蓄氣管外的部分回填上砂子。實驗外觀形貌如圖3-7所示。
裂紋的爆破源是一條500mm長沿軸向切割的穿透裂紋,設置在裂紋起始管CIP(Crack Initial Pipe)的中心,兩側管段按南北方向分別標號為S3、S2、S1和Nl、NZ、N3。在裂紋擴展期間,測量了裂紋擴展速率、壓力降低和應變變化。
實驗采用了大量不同韌性的鋼管,按照一定的順序排列。
A系列實驗中,裂紋沿夏比沖擊能量CKV值約為50J的起裂管CIP,依次穿過韌性值遞增排列的鋼管。各管段的大致韌性值是在每次爆破實驗后經過精心研究確定的。A3中Sl到S2是唯一的例外;
B系列實驗中,起裂管兩側同一方向的管段韌性值大致相同,是為了研究兩根全長范圍內具有相同價F值的管子的裂紋擴展行為,兩側夏比沖擊功預設為120J和150J。另外,B系列實驗中起裂管CIP的韌性較高(CKV約90J),長度較長(約16m),以減輕起裂過程對實驗段的影響;
在C系列實驗中,因壓縮氣體為多種成份的天然氣,在開裂減壓時將引起相變,阻礙了氣體的逸出,使止裂變得困難,因而普遍選用了高韌性鋼管。
管道排列順序和各段對應的夏比沖擊功價;CKV、標準DWTT功DS和預開裂DWTT功DP如表3-2所示。
表3-2日本HLP管道爆破實驗各段CVN與DWTT吸收功(單位:J)
|
實驗號 |
實驗溫度 |
類目 |
S3 |
S2 |
S1 |
CIP |
N1 |
N2 |
N3 |
|
S |
N |
|
A1 |
+12 |
材質 |
控軋 |
控軋 |
控軋 |
控軋 |
調質 |
調質 |
— |
|
CKV |
202 |
140 |
83 |
51 |
92 |
188 |
— |
|
DS |
47050 |
7920 |
5230 |
2650 |
4510 |
8820 |
— |
|
DP |
4210 |
5120 |
3590 |
2070 |
3160 |
4610 |
— |
|
A2 |
+3 |
材質 |
控軋 |
控軋 |
控軋 |
控軋 |
控軋 |
控軋 |
控軋 |
|
CKV |
196 |
139 |
119 |
45 |
108 |
169 |
275 |
|
DS |
6760 |
6170 |
5980 |
2760 |
6250 |
9090 |
1077 |
|
DP |
4210 |
3850 |
3790 |
2270 |
4200 |
4580 |
582 |
|
A3 |
+8 |
材質 |
控軋 |
控軋 |
控軋 |
控軋 |
調質 |
調質 |
控軋 |
|
CKV |
209 |
103 |
127 |
51 |
122 |
153 |
202 |
|
DS |
5120 |
4430 |
6270 |
2530 |
424 |
758 |
8820 |
|
DP |
3650 |
3110 |
4150 |
1940 |
3310 |
4490 |
4660 |
|
B1 |
+6 |
材質 |
— |
控軋 |
控軋 |
控軋 |
控軋 |
控軋 |
控軋 |
— |
|
CKV |
— |
126 |
124 |
76 |
79 |
155 |
156 |
— |
|
DS |
— |
5170 |
6040 |
4080 |
4200 |
7350 |
7460 |
— |
|
DP |
— |
4250 |
4230 |
3030 |
3180 |
4430 |
4470 |
— |
|
B2 |
+12 |
材質 |
— |
控軋 |
控軋 |
控軋 |
控軋 |
調質 |
調質 |
— |
|
CKV |
— |
145 |
118 |
93 |
99 |
125 |
129 |
— |
|
DS |
— |
7350 |
4840 |
5340 |
4800 |
5560 |
5660 |
— |
|
DP |
— |
4270 |
3390 |
3430 |
3320 |
4200 |
4020 |
— |
|
C1 |
-5 |
CKV |
341 |
260 |
244 |
203 |
208 |
206 |
324 |
|
DP |
— |
— |
— |
3990 |
— |
— |
— |
|
C2 |
-5 |
CKV |
— |
— |
338 |
186 |
232 |
237 |
— |
|
DP |
— |
— |
— |
5180 |
— |
— |
— |
在全部七次HLP實驗中,裂紋擴展與止裂的情況如圖3-8所示。
在圖3-8的所有實驗中,裂紋以全延性方式向實驗管兩端呈軸向擴展,并突然轉向周向,隨即止裂。這表明管道本身的韌性導致止裂。
3.2.3速度觀測結果
在全尺寸爆破實驗中,可以根據時線記錄的數據計算裂紋沿鋼管軸向的擴展速度。圖3-9和3-10分別在聯盟管道第一次和第二次實驗的斷裂速度曲線。
從圖中可以看到,在裂紋長度不超過三倍管道直徑的超始擴展階段,因鋼管內的氣壓來不及釋放而裂紋加速較快;
在裂紋擴展長度相當于第四個管道直徑長度的范圍內,鋼管裂口張開,氣體壓力迅速衰減,直至與裂紋擴展速度達到平衡,此階段斷裂速度先升后降;
隨著裂紋的進一步擴展,擴展過程的參數包括裂紋擴展速度以及裂紋尖端的應力取決于鋼管的斷裂韌性。
圖3-11、圖3-12表示日本HLP實驗中裂紋擴展速率隨擴展距離的變化,空心點為實測值。通過對易發生斷口分離(斷口分離現象將在下一章中介紹)的控軋(CR)鋼和調質(QT)鋼兩種材料的臨界止裂韌性的測試,沒有發現大的差異,說明斷口分離現象對動態延性斷裂的止裂能力影響不大。
速度曲線表明,在A類實驗中,裂紋起裂后,在韌性較低的CIP擴展速度達以300m/s以上。裂紋進入實驗管后,裂紋擴展速度隨著裂紋的擴展而下降,實驗A3的南側有例外,裂紋從S1到S2管裂紋擴展速度增大,這是由于韌性排列時S2管的韌性例外地比S1低。在B類實驗中,CIP管的最大裂紋擴展速度率為300m/s(B1)和270m/s(B2),這與其韌性較高有關。
3.2.4從全尺寸實驗中得到的結論
本節介紹了現有的基于全尺寸實驗的止裂韌性判定方法,搜集整理了國際上兩次著名的大規模鋼制輸氣管道全尺寸實驗的進行情況和各管段材料性能以及實測裂紋擴展速度數據。以下幾點與論文密切相關:
首先,管道斷裂動力學上的有限元法是近十幾年隨計算機的發展而蓬勃興起的技術,其精確程度與具體設計參數下的可靠性還有待在進一步的實踐中證實。在此背景下,國際上已經沿用了近三十年的全尺寸實驗確定管道止裂韌性的方法無疑為計算提供了很好的原始數據與結果比較;
其次,我國目前尚沒有進行高壓輸氣管道的全尺寸爆破實驗,國外的實驗我們可以得到的數據十分有限,因而顯得彌足珍貴。具體的實測數據,只有和實驗條件,設計參數,各段鋼材性能等參數結合起來才有參考價值;最后,也是最重要的一點,雙曲線法在結合全尺寸實驗在預測高韌性管道止裂韌性時已發生巨大的偏差,如圖3-4所述。究其原因,本文認為很大程度上是由于高韌性鋼材的明顯的塑性功耗散現象己經使全尺寸實驗的結果背離了雙曲線法止裂分析的初衷。這正是本章計算試圖解決的問題。
對于最后一點,具體解釋如下:
傳統分析氣體爆破實驗的方法是將實驗管分成兩組,即“擴展組”和“止裂組”,它們取決于裂紋順利通過管道還是在管道內止裂,然后在兩者之間求出沖擊韌性臨界值。這種做法的正確性是建立在動態裂紋擴展速率在同一韌性的鋼管中基本不變,且不會明顯受到管道接頭部位的影響的前提下的。但現有的高韌性管道實驗數據表明,在韌性一致的管段中,也會發生斷裂擴展速度逐漸減慢直至止裂的現象。對于高韌性鋼管,這種效應尤其明顯。這一結論可以從上兩節的實驗數據中得到證實,例如:
所有實驗的止裂都不是在同一管段內部發生的,任意管段內均發生了減速。尤其是HLP組織的B類實驗:在Bl的兩側,B2的北側,裂紋從CIP起裂后經過的兩段管子韌性相差無幾,卻均在第一段中持續擴展而在第二段中止裂。
這說明止裂與否不僅取決于管段的韌性,還取決于裂紋進入管段的速度,以及裂紋在管段內擴展的距離。也就是說,對于斷裂韌性高于一定數值的管道,只要長度足夠,就必然會發生止裂。因而,對應于某種韌性,僅有是否止裂的結論是不夠的,止裂長度概念的引入十分必要。
從本節的討論看出,高韌性管線中裂紋止裂韌性的臨界值取決于要求的止裂長度。這需要建立新的能夠考慮到止裂長度影響的模型。對于動態裂紋擴展的有限元算法,要考慮韌性導致的減速行為,應將實驗可測的韌性作為參數代入,在數值模擬中起到減速的作用。
3.3實測減速模型
通過上一節對全尺寸實驗中減速現象的描述,很容易想到的解決方法是直接利用實測速度曲線,對具體應用的管道裂紋擴展速度規律做參數擬合,進而進行有限元計算。實測減速模式正是基于這種思路。
3.3.1實測減速模型的描述
一般地,對管線裂紋擴展速度變化,采用(3-10)式進行擬合:
式中助是擬合段曲線的初速度,Lr表示該初速度下的止裂長度,z表示裂尖位置。對于圖3-9中的lW段,取v0=200m/s,Lr=35m,擬合結果如圖3-13所示:
考慮到影響管道裂紋擴展速度變化的參數主要有管道內部氣體壓力p0,管道的直徑D和管道的壁厚h,和管道動態斷裂強度和韌性參數等,可分別定義v0和Lr為:
其中pa為大氣壓力,σf為流動應力,等于屈服應力和拉伸強度的平均值;CV為CVN實驗測得的夏比沖擊功,k1和k2分別是具有長度量綱的常數,由實驗歸納得到。
3.3.2實測減速模型的不足
作者曾在(3-10)至(3-12)的基礎上,與唐甜合作,對西氣東輸管線進行了評估。本文的重點不在于此,因而不再重復。
實測減速模型畢竟僅僅基于經驗公式,缺乏足夠的理論基礎。其主要的表達式(3-10)至(3-12)成立的依據還存在一些不確定的因素,k1和k2的數值通過現有的全尺寸實驗數據也難以定為常數,只給出大致的量級范圍。另外,指定裂紋速度變化的規律之后再判斷裂紋是否止裂,不足以單獨用作工程上判斷管道止裂性能的憑據。
3.4韌性減速機理
本節以裂紋擴展過程中整體及裂紋尖端區域的能量平衡方程為出發點,應用流變斷裂學中的基本原理,得到宏觀唯象形式的表達,并應用于有限元模型。其中表示材料韌性的關鍵參數通過改進后的小試件實驗得到,個別關鍵系數通過全尺寸實驗的檢驗確定。
3.4.1含裂紋的鋼制管道能量平衡方程
按照流變斷裂學的觀點,不可逆的裂紋擴展區別于受絕熱或等溫變形約束的理想彈性體的重要特征是開裂物體的墑增現象,因而采用包括描述熵增、熱膨脹、熱傳導等過程所需的七個參數來描述裂紋擴展過程。
裂紋體的整體能量平衡意味著動能時間變化率與內能時間變化率的總和等于全部力與力偶的功率及單位時間內流進或流出物體全部其余能量(對于本文問題僅考慮熱能)的總和。也就是說,作用于物體上的功增量δW與物體吸收或散逸的熱能增量δ 的總和等于物體的內能增量△U與動能增量△K的總和,即:
△K+△U=δW+δ

(3-13)
式中動能和內能均是可加和的狀態函數,僅與初始態和終結態有關。但功和熱還與過程有關,為此采用了△和δ兩種增量記號。
若增量無窮小,且方程中的物理量對于時間是可微函數,則式(3-13)可以寫成對時間t的微分形式:

(3-14)
由于動能和內能是可加和函數,故有:

(3-15a)
(3-15b)
式中

和S
F分別為管道所占空間域和裂紋擴展引起的新表面, 是二者之差。若令新裂紋面的能量變化率為:

(3-16)
則可得到:

(3-17)
將上式寫成微分形式:

(3-18)
式(3-18)中,W表示外力功,U表示應變能,K表示動能,Γ表示表面能,

表示熱量引起的能量損失。(

)表示除去裂紋擴展形成的新表面以外的部分的值。
下面考慮單側裂紋擴展的全管道模型,即圖2-6中1/4管道模型的兩倍。
令Λ=-

,表示由于塑性功卸載引起的熱耗散量,并將Λ和Γ分別寫成塑性功率λ與表面能密度y與裂紋擴展導致新生成表面面積的乘積:
Λ=2ahλ,Γ=2ahy (3-19)
式中a表示裂紋單向擴展長度,h表示厚度。
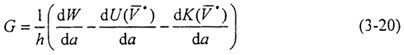
定義裂紋單側擴展的驅動力G:
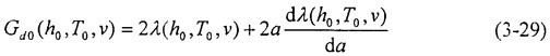
一般可設鋼材的表面密度y為材料常數,同時注意這里λ與Gd均是與裂紋擴展速率v相關的量。對于瞬態擴展,某時刻的斷裂韌性Gd可以表示為:
對于金屬材料,λ通常比y大三個數量級,故y可忽略不計。
在裂紋擴展的過程中,局部能量不守恒。此時的管道裂紋尖端可視作為一個熱源匯,為裂紋的擴展積累和提供能量,并遵循G=Gd的關系。
由(3-14)和(3-21)式,最終得到裂紋單側擴展的能量平衡方程:
式(3-22)中da/dt=vt表示t時刻管道裂紋的瞬時擴展速度。
從以上推導可以看出,輸入功率dW/dt一定的情況下,熱耗散率λ起到了制約動能K的作用。裂紋擴展過程必然伴隨有熱傳導和墑產生,對于耗散型材料(如高韌性鋼),熱耗散效應不容忽視。
3.4.2有限元中的速度反饋機制
首先給出第二章的有限元漠型中時間步長為n時的各能量求解表達式。
外力功表達式為:
W
0=0,W
n=W
n-1+

(d
n-d
n-1) (3-23)
式中d為節點上的位移分量,

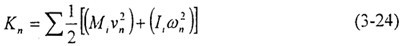
為作用在節點上的外力。
在時間步為n時的動能表達式為:
式中i為節點號,M是集中于節點處的質量,I是集中于節點處的轉動慣量,vn是節點的線速度分量,ωn是節點的角速度分量。
在時間步為n時的應變能表達式為:
式中h是單元厚度,

是單元面積,σ和ε是單元的應力和應變。
設時間步為n,迭代步為k,對于任意的變量E ,以△

表示

。
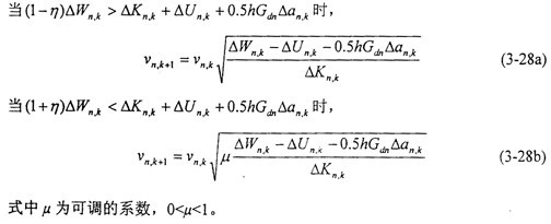
根據上一節所得到的式(3-22),在有限元計算中引入速度反饋機制。注意到(3-23)到3-25)式均為圖2-6中1/4管道模型下的值,相當于上一小節中相應物理量的一半,驗算下式:

(3-26)
式中η表示能量平衡迭代要求的精度,0<η<l,越接近于零表示精度越高。若(3-26)式成立,則進入n+1時間步計算;若不成立,則進入k+1迭代步:
以得到的

為新的試算速度進行迭代,直至(3-26)式滿足。
(3-27)式具有其確切的物理意義,即:
若(l-η)△

>△

+△

+0.5hG
dn△

,表示外力功過剩。過剩的部分將通過(3-27)式轉化為動能;
若(l+η)△

>△

+△

+0.5hG
dn△

,則表示外力不足以抵消斷裂韌性及應變能變化,這時需要犧牲動能來保證裂紋擴展。
在式(3-27)中,以裂尖速率替代了管道整體平均速率反映動能帶來的影響。考慮到二者趨勢上的一致性,并因等式左端的

是試算值,僅影響到計算速度與收斂性,而不影響計算精度,故可暫作此假定。
速度反饋機制的收斂性同網格疏密程度,時間步長,試算初速度等相關。它在程序中實現的流程如圖3-14所示。
裂紋體的殘余動能并不能全部用于驅動裂紋擴展,因為相當一部分動能包含在裂紡頂端后面較遠的區域內。Hahn(1973)對雙懸臂梁試樣的測試表明,約有85%的動能消耗于裂紋驅動能。修正后的(3-27)可以表示為:
至此,韌性減速機理已經基本建立。但(3-26)式中表示動態斷裂韌性的關鍵量Gd的確定方法尚未解決。下面-小節我們將就此展開討論。
3.4.3小試樣沖擊實驗與Gd的關系
工程上廣泛使用小試件沖擊實驗的辦法測定管道材料的動態斷裂韌性,具體測試手段與結果在第四章另有詳述。
本小節的目的是通過小試樣沖擊實驗的設計參數和測得的吸收功,給出韌性減速機理中代表動態斷裂韌性的關鍵量Gd的基本表達。
2.1.4節已經提到,動態斷裂韌性Gd除與材料的性質密切相關外,還與環境溫度,應力狀態,試件厚度,特別是斷裂速度關系密切。
因小試件沖擊實驗與管道全尺寸裂紋擴展的相似性,忽略應力狀態對斷裂韌性的影響。設小試件沖擊實驗中的特定參數為試件厚度h0,沖擊速度v0,實驗環境溫度T0,韌帶寬度即裂紋擴展長度a0,測到的外力吸收功為W0。
由忽略表面能的(3-21)式,小試件裂紋擴展中的動態斷裂韌性Gd0。可表示為:
式中λ為材料的塑性功率,v為瞬時擴展速率,a為瞬時裂紋長度,O<a<a0。注意這里裂紋每擴展da,新增裂紋面面積為2hda。
考慮裂紋擴展過程中的某微小時間增量dt,對小試樣沖擊的實驗過程應用能量平衡方程(3-22)式并對裂紋擴展全過程在時間上進行積分:
式中△W、△U、△K分別為裂紋擴展過程中試件消耗的外力功、應變能增量和動能增量,WC為裂紋開裂過程消耗的起裂功。對于高韌性鋼,△U、△K可忽略。
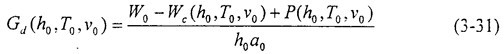
因小試件試樣斷裂時間很短,可假定起裂后的斷裂速度始終等同于擺錘的沖擊速度v0。另外考慮在試樣尾部因裂紋前端發生塑性形變的范圍變短,Gd會相應有所損失,令這-部分損失的能量為P(h0,T0,v0),則:
式(3-31)可以作為確定式(3-26)至式(3-28)中Gd(h,T,v)的依據。
3.4.4待定參數的確定
式(3-31 )留下了W
e和P兩個參數有待確定。根據其物理意義,可以通過預制裂紋、脆化缺口等方法消除W
e的影響。雙試件實驗更可以達到雙重目的,通過兩次不同韌帶寬度a
1和a
2的試件(其余條件完全相同)的實測吸收功W
1,W
2之差,可以直接得到G
d0:
因為影響韌性的參數比較復雜,最可靠的做法是采用和真實管道同樣的壁厚,在一系列溫度和沖擊速度下用雙試件法測定斷裂韌性,以備計算采用。
3.5基于韌性減速機理的算例分析
韌性減速機理應用于有限元計算后,可以方便地隨意指定計算區域內的管道裂紋的初速度v0,通過第四章的小試件方法測到的動態斷裂韌性Gd,模擬整個管道包括速度變化的曲線在內的真實開裂情況。
本文通過上述方法,對圖3-9至圖3-12中的全尺寸實測斷裂速度曲線結果進行了校核,得到了比較吻合的結果。現以聯盟管道第一次實驗IE段為例,設定擴展的初速度為330m/s,速度變化的計算值同實驗對比如圖3-15所示:
通過大量的測算與歸納,得到吻合較好時的Gd與CVN能量的關系:
Gd=1.3CKV=0.016CKV (3-33)
式中cKV和CKV分別是單位面積標準夏比沖擊韌性值和標準夏比沖擊功,cKV=CKV/(hoao),對于標準CVN試件,h0=10mm,a0=8mm。
另外,當斷裂速度降至低于100m/s時,要考慮偏隨速度的降低:
當v<100m/s,Gd=o.8cKV+0.5cKV·v/100 (3-34)
直至止裂時Gd降為止裂韌性0.8cKV。
(3-33)和(3-34)式中的系數1.3和O.8的獲得方法為大量試算后取與全尺寸速度實測結果普遍吻合較好的值。
根據圖3-16中的MISES應力分布可以判斷裂尖處的塑性區范圍。隨著裂紋擴展過程中韌性導致的速度降低,塑性區的范圍逐漸縮小。
圖3-17和圖3-18是針對西氣東輸某特定設計參數的管線,應用韌性減速機理計算時能量釋放率G和裂紋尖端張開角CTOA的變化。
隨著計算輸入韌性Gd導致的裂紋不斷減速,G和CTOA衰減幅度明顯,直至止裂。
3.6本章小結
全尺寸爆破實驗中觀測到的速度變化表明,對于高韌性管線,由塑性功耗散引起的動能衰減不可忽略。裂紋在低于預測斷裂韌性的均質管道中也會發生明顯的減速現象,直至止裂。Maxey雙曲線法在預測高韌性鋼止裂韌性時發生的偏差是上述論述的有力旁證。
為此我們引入了依靠全尺寸實驗指定裂紋擴展速度變化的實測減速模型,將全尺寸實驗的速度歷史通過參數分析應用到待測管線。因影響裂紋擴展速度的原因過于復雜,這種做法的可靠性不能保證。
本章的主要工作是通過流變斷裂學的基本理論,推導了對于瞬態裂紋擴展,動態斷裂韌性在整體能量平衡方程中所起的作用,并在有限元中構造了迭代算法。表征材料韌性的參數GJ(v)通過小試樣實驗確定,在計算中作為已知函數代入。
通過和真實裂紋擴展曲線的對照,建立了通過夏比沖擊功估算GJ的經驗模型(3-33)和(3-34),并據此對特定參數的管道進行了分析。
夏比沖擊和DWTT實驗測試的是試樣斷裂的總能量。總能量包括起裂能、裂紋擴展能、塑性變形能和拋擲試樣的動能。已有對DWTT試樣的研究認為前兩部分能量占總能量的絕大部分。因而,本文認為雙試件DWTT實驗是最合適的小試件測定Gd(v)的手段。
但對于大多數工程情況,該實驗條件難以被滿足。這就需要采用判定動態斷裂韌性的一般方法,如CVN和DWTT,尤其是CVN。這是因為工程上往往備有各種溫度下的一系列夏比沖擊能量的數據。
在用全尺寸管道實驗的數據作校對的時候,同樣會遇到類似的問題。一般情況下關于管道韌性的數據僅有CVN沖擊能量和DWTT吸收功,所以有必要對這兩種實驗進行進一步的分析。有關CVN和DWTT實驗方面的內容,尤其是高韌性鋼材的特性和測試結果,將在下一章中詳細討論。