附錄B
齒輪傳動公差
(參考件)
本標準推薦使用下列齒輪傳動公差。
B1定義及代號
本標準規定的齒輪傳動誤差項目、定義及代號見表B1。
表B1
|
序號 |
誤差項目及定義 |
代號 |
圖示 |
|
1 |
傳動切向綜合誤差
齒輪裝配后,在傳動的整周
期內,從動齒輪的實際轉角與
理論轉角之差的總幅度值。以
分度圓弧長計
傳動切向綜合公差 |
△Fit′
Fit′ |
|
|
2 |
傳動一齒切向綜合誤差
齒輪裝配后,在轉動的一齒
距角內,從動齒輪的實際轉角
與理論轉角之差的最大值。以
分度圓弧長計,在整周期內取
值
傳動一齒切向綜合公差 |
△fit′
fit′ |
|
|
3 |
側隙
法向側隙
齒輪裝配后,當工作齒面接
觸時,非工作齒面間的最小距
離
圓周側隙
齒輪裝配后,一個齒輪固
定,另一個齒輪從工作齒面接
觸到非工作齒面接觸所轉過
的分度圓弧長
最大法向側隙
最小法向側隙
最大圓周側隙
最大圓周側隙 |
jn
jt
jnmax
jnmin
jtmax
jtmin |
|
|
4 |
中心距偏差
在齒寬的中間平面內,實際
中心距與公稱中心距之差
中心距極限偏差
上偏差
下偏差 |
△fa
+fa
-fa |
|
|
5 |
軸線平行度誤差
x方向軸線平行度誤差
一對齒輪軸線在其基準平
面[H]上投影的平行度誤差。
在等于齒寬的長度上測量
y方向軸線平行度誤差
一對齒輪軸線在垂直于基
準平面1),并且平行于基準軸
線的平面[V]上投影的平行
度誤差。在等于齒寬的長度上
測量
注:1)包含基準軸線、并通
過齒寬中間平面與另一軸線
相交點所形成的平面,稱為基
準平面。兩條軸線中任一條軸
線都可作為基準軸線。
x方向軸線平行度公差
y方向軸線平行度公差 |
△fx
△fy
fx
fy |
|
B2公差與計算
B2.1本附錄規定的有有傳動項目的公差或極限偏差的計算式、數值如下:
c.fa采用的IT值見表B2;
fa的數值見表B3。
表B2
|
Ⅰ組精度等級 |
3、4 |
5、6 |
7、8 |
9~12 |
|
fa |
0.5IT6 |
0.5IT7 |
0.5IT8 |
0.5IT9 |
表B3
|
Ⅰ組精度等級 |
中心距mm |
|
≤12 |
>12
~20 |
>20
~32 |
>32
~50 |
>50
~80 |
>80
~125 |
>125
~200 |
>200
~315 |
>315
~400 |
|
±faμm |
|
3、4 |
±5 |
±6 |
±7 |
±8 |
±9 |
±11 |
±33 |
±16 |
±18 |
|
5、6 |
±8 |
±9 |
±11 |
±13 |
±15 |
±18 |
±20 |
±25 |
±29 |
|
7、8 |
±11 |
±14 |
±17 |
±20 |
±23 |
±27 |
±31 |
±38 |
±45 |
|
9~12 |
±18 |
±22 |
±26 |
±31 |
±37 |
±44 |
±50 |
±62 |
±70 |
d.fx、fy的計算式分別為:
fx=Fβ
fy=1/2Fβ
fx、fy的數值見有B4。
表B4
|
軸線平行
度公差 |
齒寬
b mm |
Ⅰ組精度等級 |
|
3 |
4 |
5 |
6 |
7 |
8 |
9 |
10~12 |
|
μm |
|
fx |
≤10 |
2 |
3 |
5 |
6 |
9 |
11 |
14 |
18 |
|
>10~20 |
3 |
4 |
6 |
8 |
12 |
15 |
19 |
24 |
|
>20~40 |
4 |
5 |
8 |
10 |
15 |
19 |
24 |
30 |
|
fy |
≤10 |
1 |
2 |
3 |
3 |
5 |
6 |
7 |
9 |
|
>10~20 |
2 |
2 |
3 |
4 |
6 |
8 |
10 |
12 |
|
>20~40 |
2 |
3 |
4 |
5 |
8 |
10 |
12 |
15 |
B2.2本標準規定的jtmin采用的IT值及數值分別見表B5、表B6。
表B5
|
側隙種類 |
h |
g |
f |
e |
d |
|
jtmin |
0 |
IT5 |
IT6 |
IT7 |
IT8 |
表B6
|
Ⅰ組精度等級 |
中心距mm |
|
≤12 |
>12
~20 |
>20
~32 |
>32
~50 |
>50
~80 |
>80
~125 |
>125
~200 |
>200
~315 |
>315
~400 |
|
±faμm |
|
h |
0 |
0 |
0 |
0 |
0 |
0 |
0 |
0 |
0 |
|
g |
6 |
8 |
9 |
11 |
13 |
15 |
18 |
22 |
25 |
|
f |
9 |
11 |
13 |
16 |
19 |
22 |
26 |
32 |
36 |
|
e |
15 |
18 |
21 |
25 |
30 |
35 |
42 |
50 |
57 |
|
d |
22 |
27 |
33 |
39 |
46 |
54 |
64 |
78 |
89 |
附錄C
公差或極限偏差計算式及公比
(參考件)
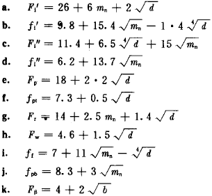
C1公差計算式(7級)

C3級間公比
本標準采用變公比,數值見表C1。
表C1
|
精度等級 |
項目 |
|
Fi′、Fi″、FP、Fpk、Fr、Fw、fi′、fi″、fPt、Fpb、ff |
Fβ、fx、fy |
|
公比 |
|
3~5 |
1.6 |
1.25 |
|
5~8 |
1.4 |
|
8~12 |
1.25 |
1 |
附加說明:
本標準由中華人民共和國機械電子工業部提出。
本標準由機械電子工業部電子標準化研究所歸口。
本標準七八六廠、哈爾濱工業大學、機械電子工業部電子標準化研究所等單位負責起草。
本標準主要起草人張之鳴、成熙治、楊德乾、趙雨生等。