8.2 壽命系數ZNT,YNT
壽命系數ZNT和YNT分別考慮齒輪壽命小于或大于持久壽命條件循環次數Nc時(見圖27、圖28),其可承受的接觸應力和彎曲應力值與其相應的條件循環次數Nc時疲勞極限應力的比例的系數。
當齒輪在定載荷工況工作時,應力循環次數NL為齒輪設計壽命期內單側齒面的嚙合次數;雙向工作時,按嚙合次數較多的一側計算。當齒輪在變載荷工況下工作并有載荷圖譜可用時,應按附錄B(提示的附錄)中方法核算其強度安全系數;對于缺乏工作載荷圖譜的非恒定載荷齒輪,可近似地按名義載荷乘以使用系數KA來核算其強度。
條件循環次數Nc是齒輪材料S-N(即應力-循環次數)曲線上一個特征拐點的循環次數,并取該點處的壽命系數為1.0,相應的S-N曲線上的應力稱為疲勞極限應力。
8.2.1 接觸強度計算的壽命系數ZNT
接觸強度計算的壽命系數ZNT應根據實際齒輪實驗或經驗統計數據得出S-N曲線求得,它與一對相嚙合齒輪的材料、熱處理、直徑、模數、齒面粗糙度、節線速度及使用的潤滑劑明關。當直接采用S-N曲線確定和S-N曲線實驗條件完全相同的齒輪壽命系數ZNT時,應取有關的影響系數ZR、ZV、ZL、ZW、ZX的值均為1.0。
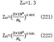
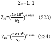
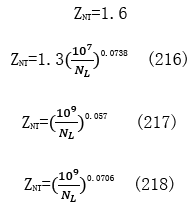
當無合適的上述實驗或經驗數據可用時,ZNT可由表25中的公式計算得出,也可由圖27查取。
8.2.2彎曲強度和壽命系數YNT
彎曲強度和壽命系數YNT應根據實際齒輪實驗或經驗統計數據得出的S-N曲線求得,它與材料、熱處理、載荷平穩程度、輪齒尺寸及殘余應力有關。當直接采用S-N曲線確定和S-N曲線實驗條件完全相同的齒輪壽命系數YNT時,應取系數YδrelT,YRrelT,Yx的值為1.0。
當無合適的上述實驗或經驗數據可用時,YNT可用表26中的公式計算得出,也可由圖28查取。
采用說明:
12]ISO文體中圖23b的1)與2)圖樣顛倒,已訂正。
采用說明:
13]圖27、28中灰鑄鐵在ISO6336:1996文本里誤為可鍛鑄鐵,已訂正。
表25 接觸強度的壽命系數ZNT
|
材料及熱處理 |
靜強度最大
循環次數N0 |
持久壽命條
件循環次數NC |
應力循環
次數NL |
ZNT計算公式 |
|
結構鋼
調質鋼
球墨鑄鐵(珠光體、貝氏體)球光體可鍛鑄鐵;滲碳淬火
的碳鋼;感應淬火或火焰淬火的鋼和球墨鑄鐵 |
允
許
有
一
定
點
蝕 |
N0=6×105 |
NC=109 |
NL≤6×105
6×105<NL≤107
107<NL≤109
109<NL≤1010 |
|
|
不
允
許
點蝕 |
N0=105 |
NC=5×107 |
NL≤105
105<NL≤5≤107
5×107<NL≤1010 |
ZNT=1.6
|
|
灰鑄鐵、球墨鑄鐵(鐵素體)
;滲氮處理的滲氮鋼、調質鋼、
滲碳鋼 |
NC=2×106 |
NL≤105
105<NL≤2×106
2×106<NL≤1010 |
 |
|
氮碳共滲的調質鋼、滲碳鋼 |
NL≤105
105<NL≤2×106
2×106<NL≤1010 |
|
|
注:當優選材料、制造工藝和潤滑劑,并經生產實踐驗證時,式(218),(220),(222)和(224)可取ZNT=1.0 |
表26 彎曲強度的壽命系數YNT